Chapter 7A - Function Group Types Flashcards

(probably draw each type) (32 cards)

1
Q

Identify the functional group in this hydrocarbon:

A

Haloalkane
* organic compound that has one or more halogen
* polar molecule (due to presence of halogen)
* dipole-dipole attractions between molecules

How well did you know this?
1
Not at all
2
3
4
5
Perfectly
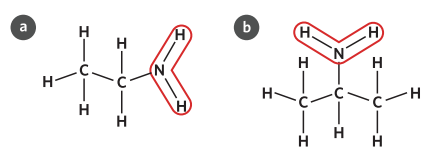
2
Q

Identify the functional group in this hydrocarbon:

A

Primary amine
* contain an amino group NH2
* derived from ammonia
* nitrogen atom is bonded to one carbon atom
* polar molecule with hydrogen bonds

How well did you know this?
1
Not at all
2
3
4
5
Perfectly
3
Q

Identify the functional group in this hydrocarbon:

A

Amide
* contains amide functional group CONH
* nitrogen atom is bonded to one carbon atom
* always on terminal carbon
* polar molecule forming multiple hydrogen bonds

How well did you know this?
1
Not at all
2
3
4
5
Perfectly
4
Q

Identify the functional group in this hydrocarbon:

A

Alcohol
* contains at least 1 hydroxyl group
* polar molecule with 1 hydrogen bond

How well did you know this?
1
Not at all
2
3
4
5
Perfectly
5
Q

Primary Alcohol

A

OH is bonded to a carbon atom which is bonded to 1 carbon atom only (reactive)

How well did you know this?
1
Not at all
2
3
4
5
Perfectly
6
Q

Secondary Alcohol

A

OH is bonded to a carbon atom which is bonded to 2 carbon atoms (reactive)

How well did you know this?
1
Not at all
2
3
4
5
Perfectly
7
Q

Tertiary Alcohol

A

OH is bonded to a carbon atom which is bonded to 3 carbon atom’s (unreactive)

How well did you know this?
1
Not at all
2
3
4
5
Perfectly
8
Q

Identify the functional group in this hydrocarbon:

A

Aldehyde
* contains a carbonyl group
* always on terminal carbon
* polar molecule (C more electronegative than O)
* dipole-dipole bonding

How well did you know this?
1
Not at all
2
3
4
5
Perfectly
9
Q

Identify the functional group in this hydrocarbon:

A

Ketone
* contain a carbonyl group
* group attached to non-terminal carbon
* polar molecule with dipole-dipole bonding

How well did you know this?
1
Not at all
2
3
4
5
Perfectly
10
Q

Identify the functional group in this hydrocarbon:

A

Carboxylic Acid
* carboxyl group (carbonyl+hydroxyl) always on terminal carbon
* acts as a weak acid by donating H+ from the -COOH
* polar molecule forming two hydrogen bonds

How well did you know this?
1
Not at all
2
3
4
5
Perfectly
11
Q

Identify the functional group in this hydrocarbon:

A

Ester
* alcohol + carboxylic acid
* contain -COOC- group
* have a pleasant fruity smell

How well did you know this?
1
Not at all
2
3
4
5
Perfectly
12
Q

Structural Isomer

A

Compounds with the same molecular formula but different structural arrangements.
- similar chemical properties
- may differ in physical properties

How well did you know this?
1
Not at all
2
3
4
5
Perfectly
13
Q

Chain isomer

A

Straight (linear) vs branched chain structure

How well did you know this?
1
Not at all
2
3
4
5
Perfectly
14
Q

Positional Isomer

A

Functional groups are in different locations

How well did you know this?
1
Not at all
2
3
4
5
Perfectly
15
Q

Functional Isomers

A

Different functional groups

How well did you know this?
1
Not at all
2
3
4
5
Perfectly
16
Q

Physical Property

A

Can be observed or measured without changing the composition of matter

17
Q

Chemical Property

A

Characteristic that becomes evident after a chemical change

18
Q

Melting point

A

Temperature in which a solid turns into liquid

19
Q

Boiling Point

A

Temperature at which a liquid turns into a gas

20
Q

Viscosity

A

Resistance to flow as a liquid

21
Q

Solubility

A

The ability of a solute to dissolve in a solvent

22
Q

Intramolecular forces

A
  • covalent bonds hold atoms together within molecules
  • sharing of valence electrons
  • non-metals have high-electronegativity because of core charge
23
Q

Non Polar

A
  • electrons are shared equally
  • has no polar covalent bonds
  • polar bonds but arranged symmetrically
24
Q

Polar

A

Electrons are shared unequally
* has one or more polar covalent bonds that are arranged asymmetrically
* result is called a dipole (opposite poles)

25
Dispersion Forces
* weakest form * constant movement of electrons within atoms produce temporary poles (instantaneous) * found in all organic compounds * only force in non-polar molecules
26
Permanent Dipole Dipole Attractions
* molecules are polar and asymmetrical * electrostatic attraction b/w dipoles * strength depends on difference in electronegativity
27
Hydrogen Bonding
* stronger form of dipole-dipole bonds * HFON * attraction occurs b/w H+ and lone pairs of electrons of FON.
28
What influences the strength of intermolecular forces?
1. Size of molecule (increase with increasing size) 2. Shape of molecule (decrease with increasing branching - cannot pack closely) 3. Presence of functional group
29
Melting and Boiling points increase when:
* addition of polar functional groups (stronger intermolecular forces) * size of molecule increases (stronger forces) * no. of branches decrease (allowing molecules to pack closer together)
30
Viscosity increases when
* addition of polar functional groups * size of molecule increases (stronger forces) * no. of branches increases (branches get tangled when flowing)
31
describe the solubility of organic compounds in water
* increases w/ polar functional groups * decreases as chain size increases (non-polar hydrophobic chain increases)
32
Describe the solubility of aldehydes, ketones and esters in water
While dipole-dipole attractions exist between these molecules, they are capable of forming hydrogen bonds with water