Chapter 8 Capacitance Flashcards

(27 cards)

1
Q

Defining Capacitance

A
  • Capacitors are electrical devices used to store energy in electronic circuits, commonly for a backup release of energy if the power fails
  • They can be in the form of:
    • An isolated spherical conductor
    • Parallel plates
How well did you know this?
1
Not at all
2
3
4
5
Perfectly
2
Q
  • Capacitors are marked with a value of their capacitance. This is defined as:
A

The charge stored per unit potential difference

  • The greater the capacitance, the greater the energy stored in the capacitor
  • A parallel plate capacitor is made up of two conductive metal plates connected to a voltage supply
    • The negative terminal of the voltage supply pushes electrons onto one plate, making it negatively charged
    • The electrons are repelled from the opposite plate, making it positively charged
    • There is commonly a dielectric in between the plates, this is to ensure charge does not freely flow between the plates
How well did you know this?
1
Not at all
2
3
4
5
Perfectly
3
Q

A parallel plate capacitor is made up of two conductive plates with opposite charges building up on each plate

A
How well did you know this?
1
Not at all
2
3
4
5
Perfectly
4
Q

Calculating Capacitance

A
  • The capacitance of a capacitor is defined by the equation:

C=Q/V

  • Where:
    • C = capacitance (F)
    • Q = charge (C)
    • V = potential difference (V)
  • It is measured in the unit Farad (F)
    • In practice, 1 F is a very large unit
    • Capacitance will often be quoted in the order of micro Farads (μF), nanofarads (nF) or picofarads (pF)
How well did you know this?
1
Not at all
2
3
4
5
Perfectly
5
Q

If the capacitor is made of parallel plates

A

Q is the charge on the plates and V is the potential difference across the capacitor

  • The charge Q is not the charge of the capacitor itself, it is the charge stored on the plates or spherical conductor
  • This capacitance equation shows that an object’s capacitance is the ratio of the charge on an object to its potential
How well did you know this?
1
Not at all
2
3
4
5
Perfectly
6
Q

Capacitance of a Spherical Conductor

A
  • The capacitance of a charged sphere is defined by the charge per unit potential at the surface of the sphere
  • The potential V is defined by the potential of an isolated point charge (since the charge on the surface of a spherical conductor can be considered as a point charge at its centre):

V = Q/4πε0r

  • Substituting this into the capacitance equation means the capacitance C of a sphere is given by the expression:

C = 4πε0r

How well did you know this?
1
Not at all
2
3
4
5
Perfectly
7
Q

Capacitors in Series

A
  • Consider two parallel plate capacitors C1 and C2 connected in series, with a potential difference (p.d) V across them
  • In a series circuit, p.d is shared between all the components in the circuit
    • Therefore, if the capacitors store the same charge on their plates but have different p.ds, the p.d across C1 is V1 and across C2 is V2
  • The total potential difference V is the sum of V1 and V2

V = V1 + V2

  • Rearranging the capacitance equation for the p.d V means V1 and V2 can be written as:

V1=Q/C1 and V2=Q/C2

  • Where the total p.d V is defined by the total capacitance

V=Q/Ctotal

  • Substituting these into the equation V = V1 + V2 equals:

Q/Ctotal=Q/C1 + Q/C2

  • Since the current is the same through all components in a series circuit, the charge Q is the same through each capacitor and cancels out
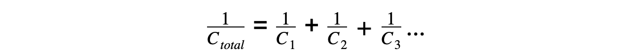
  • Therefore, the equation for combined capacitance of capacitors in series is:

1/Ctotal= 1/C1 + 1C2

How well did you know this?
1
Not at all
2
3
4
5
Perfectly
8
Q

Capacitors in Parallel

A
  • Since the current is split across each junction in a parallel circuit, the charge stored on each capacitor is different
  • Therefore, the charge on capacitor C1 is Q1 and on C2 is Q2
  • The total charge Q is the sum of Q1 and Q2

Q = Q1 + Q2

  • Rearranging the capacitance equation for the charge Q means Q1 and Q2 can be written as:

Q1 = C1V and Q2 = C2V

  • Where the total charge Q is defined by the total capacitance:

Q = CtotalV

  • Substituting these into the Q = Q1 + Q2 equals:

CtotalV = C1V + C2V = (C1 + C2) V

  • Since the p.d is the same through all components in each branch of a parallel circuit, the p.d V cancels out
  • Therefore, the equation for combined capacitance of capacitors in parallel is:

Ctotal = C1 + C2 + C3

How well did you know this?
1
Not at all
2
3
4
5
Perfectly
9
Q

Capacitors connected in parallel have the same p.d across them, but different charge

A
How well did you know this?
1
Not at all
2
3
4
5
Perfectly
10
Q

Capacitors in Series & Parallel

A
  • Recall the formula for the combined capacitance of capacitors In parallel:

Ctotal = C1 + C2 + C3

  • in series:
How well did you know this?
1
Not at all
2
3
4
5
Perfectly
11
Q

Area Under a Potential–Charge Graph

A
  • When charging a capacitor, the power supply pushes electrons from the positive to the negative plate
    • It therefore does work on the electrons, which increase their electric potential energy
  • At first, a small amount of charge is pushed from the positive to the negative plate, then gradually, this builds up
    • Adding more electrons to the negative plate at first is relatively easy since there is little repulsion
  • As the charge of the negative plate increases ie. becomes more negatively charged, the force of repulsion between the electrons on the plate and the new electrons being pushed onto it increases
How well did you know this?
1
Not at all
2
3
4
5
Perfectly
12
Q

greater amount of work must be done to increase the charge on the negative plate or in other words:

A

The potential difference V across the capacitor increases as the amount of charge Q increases

How well did you know this?
1
Not at all
2
3
4
5
Perfectly
13
Q

As the charge on the negative plate builds up, more work needs to be done to add more charge

A
How well did you know this?
1
Not at all
2
3
4
5
Perfectly
14
Q

The electric potential energy stored in the capacitor is the area under the potential-charge graph

A
  • The charge Q on the capacitor is directly proportional to its potential difference V
  • The graph of charge against potential difference is therefore a straight line graph through the origin
  • The electric potential energy stored in the capacitor can be determined from the area under the potential-charge graph which is equal to the area of a right-angled triangle:
  • area = ½ x base x height
How well did you know this?
1
Not at all
2
3
4
5
Perfectly
15
Q

Calculating Energy Stored in a Capacitor

A
  • Recall the electric potential energy is the area under a potential-charge graph
  • This is equal to the work done in charging the capacitor to a particular potential difference
    • The shape of this area is a right angled triangle
  • Therefore the work done, or energy stored in a capacitor is defined by the equation:

W = ½ QV

  • Substituting the charge with the capacitance equation Q = CV, the work done can also be defined as:

W = ½ CV2

  • Where:
    • W = work done/energy stored (J)
    • Q = charge on the capacitor (C)
    • V = potential difference (V)
    • C = capacitance (F)
  • By substituting the potential V, the work done can also be defined in terms of just the charge and the capacitance:
  • W = Q2/2C
How well did you know this?
1
Not at all
2
3
4
5
Perfectly
16
Q

Capacitors are discharged through a

A
  • resistor
    • The electrons now flow back from the negative plate to the positive plate until there are equal numbers on each plate
  • At the start of discharge, the current is large (but in the opposite direction to when it was charging) and gradually falls to zero
17
Q

The capacitor charges when connected to terminal P and discharges when connected to terminal Q

18
Q

As a capacitor discharges, the current, p.d and charge all … what?

A
  • decrease exponentially
  • The means the rate at which the current, p.d or charge decreases is proportional to the amount of current, p.d or charge it has left
  • The graphs of the variation with time of current, p.d and charge are all identical and represent an exponential decay
19
Q

Graphs of variation of current, p.d and charge with time for a capacitor discharging through a resistor

20
Q

The key features of the discharge graphs are:

A
    • The shape of the current, p.d. and charge against time graphs are identical
      • Each graph shows exponential decay curves with decreasing gradient
      • The initial value starts on the y axis and decreases exponentially
  • The rate at which a capacitor discharges depends on the resistance of the circuit
    • If the resistance is high, the current will decrease and charge will flow from the capacitor plates more slowly, meaning the capacitor will take longer to discharge
    • If the resistance is low, the current will increase and charge will flow from the capacitor plates quickly, meaning the capacitor will discharge faster
21
Q

The Time Constant

A
  • The time constant of a capacitor discharging through a resistor is a measure of how long it takes for the capacitor to discharge
  • The definition of the time constant is:

The time taken for the charge of a capacitor to decrease to 0.37 of its original value

  • This is represented by the greek letter tau (τ) and measured in units of seconds (s)
  • The time constant gives an easy way to compare the rate of change of similar quantities eg. charge, current and p.d.
22
Q
  • The time constant is defined by the equation:
A

τ = RC

  • Where:
    • τ = time constant (s)
    • R = resistance of the resistor (Ω)
    • C = capacitance of the capacitor (F)
23
Q

The graph of voltage-time for a discharging capacitor showing the positions of the first three time constants

24
Q

Using the Capacitor Discharge Equation

A
  • The time constant is used in the exponential decay equations for the current, charge or potential difference (p.d) for a capacitor discharging through a resistor
    • These can be used to determine the amount of current, charge or p.d left after a certain amount of time when a capacitor is discharging
  • The exponential decay of current on a discharging capacitor is defined by the equation:
  • Where:
    • I = current (A)
    • I0 = initial current before discharge (A)
    • e = the exponential function
    • t = time (s)
    • RC = resistance (Ω) × capacitance (F) = the time constant τ (s)
25
This equation shows what?
* that the faster the time constant τ, the quicker the exponential decay of the current when discharging * Also, how big the initial current is affects the rate of discharge * If I0 is large, the capacitor will take longer to discharge * **Note:** during capacitor discharge, I0 is always larger than I, this is because the current I will always be decreasing * The current at any time is directly proportional to the p.d across the capacitor and the charge across the **parallel plates** * Therefore, this equation also describes the change in p.d and charge on the capacitor: equation will sub in V in place of Q for pd
26
* Where: * V = p.d across the capacitor (C) * V0 = initial p.d across the capacitor (C)
27
The Exponential Function *e*
* The symbol e represents the exponential constant, a number which is approximately equal to e = 2.718… * On a calculator it is shown by the button ex * The inverse function of ex is ln(y), known as the natural logarithmic function * This is because, if ex = y, then x = ln (y) * The 0.37 in the definition of the **time constant** arises as a result of the exponential constant, the true definition is: * The time taken for the charge of a capacitor to decrease by 1/e of its original value * Where 1/e = 0.3678..