Chapter 9 - Constant Acceleration Flashcards

(26 cards)

1
Q

Displacement-time graphs:

A
  • You can represent the motion of an object on a displacement-time graph. Displacement is always plotted on the vertical axis and time on the horizontal axis
  • In these graphs s represents the displacement of an object from a given point in metres and t represents the time taken in seconds
How well did you know this?
1
Not at all
2
3
4
5
Perfectly
2
Q

Stationary objects on a displacement-time graph:

A
How well did you know this?
1
Not at all
2
3
4
5
Perfectly
3
Q

Objects moving with constant speed/velocity on a displacement-time graph:

A
How well did you know this?
1
Not at all
2
3
4
5
Perfectly
4
Q

Accelerating objects on a displacement-time graph:

A
How well did you know this?
1
Not at all
2
3
4
5
Perfectly
5
Q

What is velocity:

A

The rate of change of displacement

How well did you know this?
1
Not at all
2
3
4
5
Perfectly
6
Q

What does the gradient represent on a displacement-time graph?

A

Velocity

How well did you know this?
1
Not at all
2
3
4
5
Perfectly
7
Q

Average velocity =

A

displacement from starting point/time taken

How well did you know this?
1
Not at all
2
3
4
5
Perfectly
8
Q

Average speed =

A

total distance travelled/time taken

How well did you know this?
1
Not at all
2
3
4
5
Perfectly
9
Q

Velocity-time graphs:

A
  • You can represent the motion of an object on a velocity-time graph. Velocity is always plotted on the vertical axis and time on the horizontal axis
  • In these graphs v represents the velocity of an object in metres per second and t represents the time taken in seconds
How well did you know this?
1
Not at all
2
3
4
5
Perfectly
10
Q

Stationary object on a velocity-time graph:

A
How well did you know this?
1
Not at all
2
3
4
5
Perfectly
11
Q

An object moving with constant velocity on a velocity-time graph:

A
How well did you know this?
1
Not at all
2
3
4
5
Perfectly
12
Q

An object moving with increasing velocity and constant acceleration on a velocity-time graph:

A
How well did you know this?
1
Not at all
2
3
4
5
Perfectly
13
Q

What is acceleration?

A

The rate of change of velocity

How well did you know this?
1
Not at all
2
3
4
5
Perfectly
14
Q

What does the gradient represent in a velocity-time graph?

A

Acceleration

How well did you know this?
1
Not at all
2
3
4
5
Perfectly
15
Q

If the velocity-time graph has a straight line…

A

the acceleration is constant

How well did you know this?
1
Not at all
2
3
4
5
Perfectly
16
Q

What does the area between a velocity-time graph and the horizontal axis represent?

A

The distance travelled

17
Q

How to find the displacement of a velocity-time graph at time t?

A

For motion in a straight line with positive velocity, the area under the velocity-time graph up to a point t represents the displacement at time t

18
Q

s:
u:
v:
a:
t:

(in relation to velocity-time graphs)

A

s: displacement
u: initial velocity
v: final velocity
a: acceleration
t: time

19
Q

How to find:

using the velocity-time graph
20
Q

Deriving constant acceleration formulae: eliminating t

21
Q

Deriving constant acceleration formulae: eliminating v

22
Q

Deriving constant acceleration formulae: eliminating u

23
Q

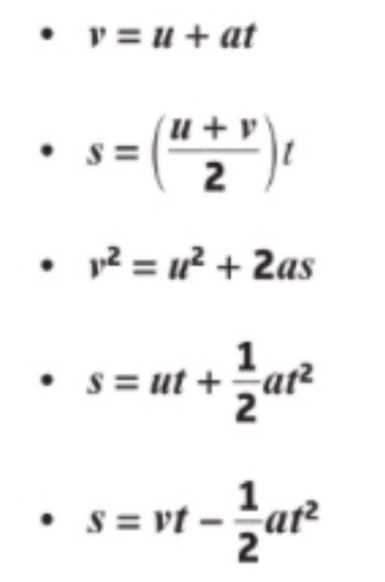
The suvat equations/constant acceleration formulae:

24
Q

Vertical motion under gravity:

A

The force of gravity causes all objects to accelerate towards the earth. If you ignore the effects of air resistance, this acceleration is constant. The acceleration does not depend on the mass of the object

25
*g*:
An object moving vertically under gravity can be modelled as a particle with a constant downward acceleration of - *g* = 9.8 ms-2 (answer must be to the same number of d.p. of *g* used)
26