two types of digital elevation model (DEM)
digital surface model (DSM) contains elevation info about all features in landscape (veg, buildings, etc.)
digital terrain models (DTM) contains info about bare earth surface without the influence of vegitation or man-made structures
4 types of tech to obtain elevation info
in situ surveying
photogrammetry
interferometric synthetic aperture radar (IFSAR)
light detection and ranging (LIDAR)
basics of LIDAR data collection (diagram)

LIDAR topographic mapping uses eye-safe light in the region
1040 - 1060 um
for bathymetric mapping (water) LIDAR uses what wavelenth?
532 um
LIDAR systems can emit pulses at a rate of
>100,000 pulses per second, referred to as pulse repetition frequency
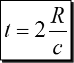
traveling time of a pulse of light is (equation)
t = pulse of light
R = range (distance) between sensor and object

masspoints
collection of elevation data arranged systematically in time across the flightline
the greater the scan angle off-nadir, the more _____
vegetation that will have to be penetrated to recieve a pulse from the ground

LIDAR avoids the problems of aerial triangulation and orthorectification because
each LIDAR posting is individually georeferenced
LIDAR uses _____ for locating the laser at all times
differntial global positioning, which uses two gps units, one on the ground and one in the air
accuracy of the aircraft position is usually known from
< 5 to 10 cm
roll, pitch, yaw measured by
intertial measurement unit (IMU)
post processsing associates (3 things)
LIDAR antenna x,y,z position
antenna roll, pitch, yaw
LIDAR range (lat, long, and alt) for each return
one laser pulse produces how many returns?
depends on the terrain
“multiple-return LIDAR data”
data voids
areas on the ground that do not yeild an LIDAR-return data