chp17 Flashcards

(20 cards)

1
Q

foreign exchange rate

A

the price of one currency in terms of another

How well did you know this?
1
Not at all
2
3
4
5
Perfectly
2
Q

example of foreign exchange rate

A

GPB £1 = USD $1.3

How well did you know this?
1
Not at all
2
3
4
5
Perfectly
3
Q

foreign exchange market

A

the market for trading currencies and checkable deposits denominated in particular currencies

How well did you know this?
1
Not at all
2
3
4
5
Perfectly
4
Q

spot transactions

A

the current, immediate exchange of bank deposits as opposed to a future date

How well did you know this?
1
Not at all
2
3
4
5
Perfectly
5
Q

spot exchange rate

A

the exchange rate at which a spot transaction occurs

How well did you know this?
1
Not at all
2
3
4
5
Perfectly
6
Q

forward transactions

A

the exchange of bank transactions at a future date as opposed to right now

How well did you know this?
1
Not at all
2
3
4
5
Perfectly
7
Q

forward exchange rate

A

the exchange rate at which a forward transaction occurs

How well did you know this?
1
Not at all
2
3
4
5
Perfectly
8
Q

appreciation

A

increase in value of a currency

How well did you know this?
1
Not at all
2
3
4
5
Perfectly
9
Q

depreciation

A

the decrease in value of a currency

How well did you know this?
1
Not at all
2
3
4
5
Perfectly
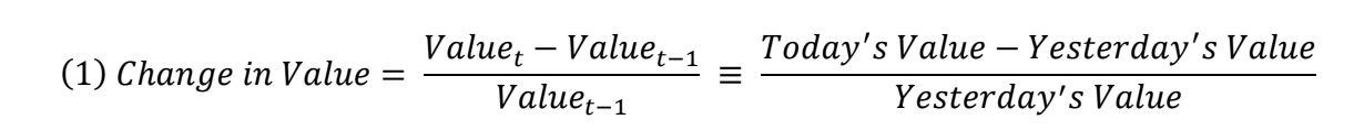
10
Q

explain this

A

percentage change in value currencies

How well did you know this?
1
Not at all
2
3
4
5
Perfectly
11
Q

if it was 80p to the dollar, but now 65p to the dollar the dollar has depreciated. By how much?

A

(0.65-0.8)/0.8 = -0.1875

depreciated by 18.75%

How well did you know this?
1
Not at all
2
3
4
5
Perfectly
12
Q

how are goods affected when the dollar appreciates?

A

foreign goods are cheaper in USA, USA goods are more expensive in other countries.

How well did you know this?
1
Not at all
2
3
4
5
Perfectly
13
Q

Theory of purchasing Power Parity (PPP)

A

goods can be purchased at the same pricing ratio or exchange rate in different countries

How well did you know this?
1
Not at all
2
3
4
5
Perfectly
14
Q

real exchange rate

A

the rate at which domestic goods can be exchanged for foreign goods

How well did you know this?
1
Not at all
2
3
4
5
Perfectly
15
Q

tariff

A

taxing imported goods

How well did you know this?
1
Not at all
2
3
4
5
Perfectly
16
Q

why do tariffs exist?

A

to help own country with domestic goods (making english cars in UK cheaper to buy than german cars sold in UK)

17
Q

quota

A

limit cap placed on the quantity of goods that can be imported

18
Q

example of quota

A

USA wants to ‘protect American cars’, and only imports 100,000 Japanese cars

19
Q

how many factors impact exchange rate?

20
Q

what 4 factors impact exchange rates? (DTIP)

A

1) Domestic Price Level
2) Trade Barriers
3) Import & Export Demand
4) Productivity