CIR 6 - Default Probability Flashcards

(20 cards)

1
Q

Survival and density functions for a piecewise constant hazard rate function h(t)

A
How well did you know this?
1
Not at all
2
3
4
5
Perfectly
2
Q

what does the difference b/w risk-neutral and real-work default probabilities represent?

A

Represents the risk premium required by investors for default risk

How well did you know this?
1
Not at all
2
3
4
5
Perfectly
3
Q

Challenge of Bond pricing formula in calculting bond price while discounting with risk-free rate

A
  • does not take into risk-aversion
  • in order to have bond pricing incorporate risk premium investors demand for bearing default risk, one must calculate the risk-neutral probability of default PD by using the bond pricing equation to solve for the default probability that yields the quoted bond price from the market.
How well did you know this?
1
Not at all
2
3
4
5
Perfectly
4
Q

Formula of risk-neutral probability of default in terms of real-wold probability and firm’s assets sharp ratio

A
How well did you know this?
1
Not at all
2
3
4
5
Perfectly
5
Q

Formula of risk-neutral probability of default in terms of real-wold probability and risk premium on the market return π

A
  • because the formula using company sharp ratio not usuble since expected return on company asset is unkown
  • Correlation b/w asset and market return can be obtained from a linear regression
  • Vol of market return can be estimated from market data
  • However, market risk premium is difficult to estimte statistically since it is time-varying
    • See formula interms of market Sharp ratio (SR)
How well did you know this?
1
Not at all
2
3
4
5
Perfectly
6
Q

Formula of risk-neutral probability of default in terms of real-wold probability and market Sharp Ratio

A
  • Theta and SR are obtained by calibrating the model to credit spread data
How well did you know this?
1
Not at all
2
3
4
5
Perfectly
7
Q

Credit spread of a risky zero coupon bond in terms to calibrate market sharp ratio and time parameter in risk-neutral prob of default

A
How well did you know this?
1
Not at all
2
3
4
5
Perfectly
8
Q

Default intensity in terms of default probablity assuming constant default intensity (exponential time to default) under quick and dirty method

A
How well did you know this?
1
Not at all
2
3
4
5
Perfectly
9
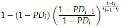
Q

Cumulative default probablity (PDt)for an intermediate time t ( tii+1)

A
How well did you know this?
1
Not at all
2
3
4
5
Perfectly
10
Q

Slope of default term structure

A
  • Investment Grade Bonds: Tend to have upward sloping default term structures
    • very low risk at issue
    • cannot become any less risky over time
    • only has a change to get more risky
  • Speculative Grade Bonds: Tend to have downward sloping default term structures
    • Very risky at issue
    • if ther is no default, bond credit quality improved over time
How well did you know this?
1
Not at all
2
3
4
5
Perfectly
11
Q

Overview of Credit migration matrices

A
  • Model how corporations can experience changes in credit quality over time
  • give likelihood of transitioning from one rating class to another
  • fallow Markov provess:
    • Previous rating history won’t affect current prob of transitioning
  • transition probs are independent of time
  • time period of matrix is typically one year
How well did you know this?
1
Not at all
2
3
4
5
Perfectly
12
Q

Important facts of a credit transition matrix

A
  • entires are all non-negative
  • All rows equal 1
  • Last column of matrix contains default probabilities
  • Default state is absorbing (one cannot escape from default state)
How well did you know this?
1
Not at all
2
3
4
5
Perfectly
13
Q

What shortcoming of Transition matrices is overcome by Generator matrices?

A
  • it is very difficult to have transition matrices sampled from historical data to
    satisfy all these requirements
  • An alternative approach to match a transition matrix to sampled data but still fulfill the required properties is to use Generator matrices
How well did you know this?
1
Not at all
2
3
4
5
Perfectly
14
Q

Describe first method to remove negative off-diagonal entries from a generator matrix

A
  • Simply zero out any negative off-diagonal entries
  • and then allocate it fully into the diagonal element of the same row
How well did you know this?
1
Not at all
2
3
4
5
Perfectly
15
Q

Describe second method to remove negative off-diagonal entries from a generator matrix

A
  • Zero out any negative off-diagonal entries
  • Allocates the negative off-diagonal entries in proportion to the absolute values of the other entries in the same row with the correct sign
How well did you know this?
1
Not at all
2
3
4
5
Perfectly
16
Q

One way to measure the difference b/w exp (Q) and M matrices

A
  • Calculate L1 norm of the difference b/w the two matrices II M - exp (Q) II
17
Q

Term of Structure of Default Probabilities Based on Market Spreads

A

Method constructs an implied default term structure using observable market information such as spreads and defaultable bond prices.

18
Q

Shortcomings of piecewise constant function of Hazard Rate Model

A
  • Inconsistencies due to
    • data error
    • model error
19
Q

how does the parameter a1 impact the slope of the default intensity function

A
  • This parameter allows the default intensity function to be sloped.
    • a1 > 0 : a downward sloping intensity function
    • a1 < 0 : an upward sloping intensity function
  • a1 represents the current deviation of the default intensity from the long-term mean a0
20
Q

Septs of Parameters Calibration of Hazard Rate Function

A
  • Obtain the model price of bonds and credit spreads by plugging in the model formula for S(t) from Nelson-Siegel model into the dirty bond/CDS pricing
  • Perform a nonlinear optimization to find the values of a1, a2, a3 that minimizes the difference between the model and market bond prices and/or credit default spreads.
  • Once the calibration is complete, use the calibrated survival function S(t) to calculate the probability of default at any time t.