What is the fundamental principle of counting?
If an event can occur in n1 ways, and a second event in n2 ways, and a third in n3 ways, … and an i-th event in ni different ways, then the total number of ways the sequence 1 to i can occur is i! (i factorial)
In how many was can N objects be chosen from a set of N distinct objects where the order is important?
NpN ( = N!)
In how many ways can k objects from a set of N distinct objects be chosen, where k < N?
NPK
What is the formula of NpK?
N!
(N-k)!
How do you calculate the number of permutations of N objects when n1 are alike in one respect, n2 are alike in a second respect, …, and ni are alike in an i-th respect
N!
n1! x n2! x … x ni!
How do we choose k objects from N if order is unimportant?
NCK, also called “n choose k”
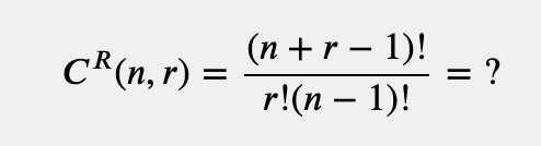
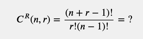
How many ways can k objects be chosen from a set of N when objects are replaced?

What is the formula for NCK?
N! / (N-k)!k!
In how many ways can K objects from a set of N distinct objects be chosen when you can replace them?
n choose k with replacement

What signals a cominatorics problem?
The question “how many…?”
What is a Factorial (!)?
The symbol for factorial is the exclamation point (!). n! is the product of all integers less than or equal to n. 4! = 4 * 3 * 2 * 1 = 24. In practice, the number 1 can be ignored (because 1 multiplied by anything does not change the product).
Are factorials even or odd? (e.g. 13!)
All factorials are even because 2 is a factor. Factorials are considered anti-prime
What is the Fundamental Counting Principle?
When making a number of separate decisions, multiply the number of ways to make each individual decision in order to find the number of ways to make all of the decisions. Example: Given a choice of 3 candidates for President and 2 candidates for Treasurer, there are 3*2 = 6 possible combinations for the President – Treasurer team
What do the words “OR” and “AND” mean in the context of combinatorics questions?
OR = add AND = multiply
An office manager must choose a five-digit lock code for the office door. The first and last digits of the code must be odd, and no repetition digits is allows. How many different lock codes are possible?
Set up “Slots” for each decision to be made and fill in the number of options. The first digit can be 1 or 3 or 5 or 7 or 9. There are 5 options for the first digit, and there are 4 remaining odd numbers remaining for the last digit The second through fourth digit are the probabilities of selecting the remaining available numbers. We subtract 1 from each remaining selection because we remove 1 possibility from the pool. Therefore, we get:
D1 * D2 * D3 * D4 * D5 which becomes
5 * 8 * 7 * 6 * 4
There are 6,720 possible combinations. We multiply these because we are making 5 selections.
What is the number of ways of rearranging n distinct objects if there are no restrictions? (e.g. how many ways are there to arrange 4 people in 4 chairs in a row?)
n! 4 * 3 * 2 * 1 = 24 arrangements
What is the number of ways of rearranging n distinct objects if m members of a group are identical?
n! / m!
What is a Combination?
A subset of items chosen from a larger pool in which the order of items does not matter (REMEMBER: combinations sound less complicated). Example: When choosing 5 people from a pool of 10 to be on a basketball team, it doesn’t matter if Juliette is chosen first and Susie is chosen second or vice versa; if they are both chosen, in any order, then both are part of that 5-person team The formula is n! / [(n - k)! * k!], where n is the total number of items in the pool and k is the number of items to be chosen. In the above example, n = 10 and k = 5
What is a Permutation?
A subset of items chosen from a larger pool in which the order of items does matter (REMEMBER: permutations sound more complicated) The formula is n! / (n - k)!, where n is the total number of items in the pool and k is the number of items to be chosen. In the above example, n = 10 and k = 3 Example: Ten people are running a race and three ribbons are to be awarded to the first (blue), second (red), and third (yellow) place finishers. If Juliette finishes first and Susie finishes second, this is a different scenario than Juliette finishing second and Susie finishing first; they are going to receive different ribbons depending upon how they finish!
What is the formula for combinations?
nCk = n! / k!(n – k)! N = number of elements in the set k = number of elements in the subset *Without repetition (i.e. assumes that you cannot have the same element twice) *Use when the order of the smaller group that is being drawn from the larger group does NOT matter (e.g. think of the combination of salad toppings)
What is the formula for permutations?
nPk = n! / (n – k)! N = number of elements in the set k = number of elements in the subset *Without repetition (i.e. assumes that you cannot have the same element twice) *Use when the order of the smaller group that is being drawn from the larger group matters (e.g. think about the three digit code to a lock)
What are the two types of permutations?
(1) Repetition is allowed (e.g. three digit lock combination could be 333) (2) No repetition is allowed (e.g. the first three people to finish a race; you cannot be first and second)
What is the formula for combinations with repetition?
(n + k – 1)! / k!(n – 1)! Repetition allowed, order does not matter
What is the formula for permutations with repetition?
Source: https://www.mathsisfun.com/combinatorics/combinations-permutations.html
