Alkene
Carbon double-bonded to another Carbon

Alkyne
Carbon triple-bonded to another Carbon

Arene or Aromatic Compound
6 Carbons in a ring, alternating between double and single bonds

Alkyl Halide
[F, Cl, Br or I] single-bonded to a Carbon

Alcohol
OH single-bonded to a Carbon

Phenol
6 Carbon ring with alternating double and single bonds, with an OH attached to one of the Carbons

Thiol
SH single-bonded to a Carbon

Ether
An Oxygen with 2 single bonds attached to Carbons

Acetal
Carbon with 2 ORs attached with single bonds
*R = undefined carbon-based structural fragment
i.e. other Carbon-based molecules attached

Hemiacetal
Carbon with an OH and OR attached (single bonds)
*R = undefined carbon-based structural fragment
i.e. other Carbon-based molecules attached

Epoxide
Two Carbons single bonded to an Oxygen in a triangle shape

Amine
Carbon single bonded to a Nitrogen
*Nitrogen has 2 other bonds attached

Nitrile
Cabon single-bonded to another Carbon which is triple-bonded to a Nitrogen

Ketone
Oxygen double-bonded to a Carbon, which is single bonded to 2 other Carbons

Aldehyde
Oxygen double-bonded to a Carbon which is single-bonded to a Hydrogen

Carboxylic Acid
Oxygen double-bonded to a Carbon which is single-bonded to an OH

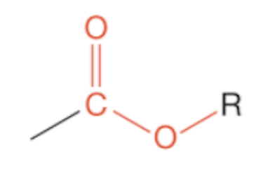
Ester
Oxygen double-bonded to a Carbon which is single-bonded to an Oxygen that is single-bonded to an R
*R = undefined carbon-based structural fragment
i.e. other Carbon-based molecules attached

Amide
Oxygen double-bonded to a Carbon which is single-bonded to a Nitrogen
