LO
What is sleep?
What is more specific to sleep in higher animals?

Where are cholinergic neurons found?
Tell me about their role in sleep
They are found near the junction of the pons and midbrain

What is an EEG used for?

An EEG recording was taken during the 1st hour of sleep, tell me the different waves seen over the one hour period, and at what times they were seen. Tell me about the frequency range for each wave type

Whats are sleep spindles?
Sleep spindles are bursts of neural oscillatory activity that are generated by interplay of the thalamic reticular nucleus (TRN) and other thalamic nuclei during stage 2 NREM sleep in a frequency range of ~11 to 16 Hz (usually 12–14 Hz) with a duration of 0.5 seconds or greater (usually 0.5–1.5 seconds).
tell me some features of NREM sleep?
Tell me about the average sleep cycle
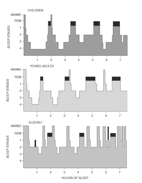
How does the sleep cycle vary with age?

Whats a polysomnogram?
Polysomnography, also called a sleep study, is a comprehensive test used to diagnose sleep disorders. Polysomnography records your brain waves, the oxygen level in your blood, heart rate and breathing, as well as eye and leg movements during the study.

What stage of sleep is dreaming associated with?
REM
In what ways does REM resemble the wake state?
In whats ways does REM sleep diverge from the wake state?
Tell me about the suppression of somatosensory response and muscle relaxation during REM sleep

What are the areas that are inactivated/ activated during REM sleep?

Tell me 4 areas of the brain associated with arousal and what are the NT expressed/secreted from here?

Label the following areas/ nuclei and what part of sleep they are involved with
(bottom left)


Toggle switch

Sleep/wake toggle switch

An experiment was done on rats to look at the effects caused by depriving one of sleep. The experiment had 2 rats on a disc. One rat was not allowed to sleep where as the other was. When the no sleep rat would fall asleep, the disc it was on would spin and the rat would fall in the way and wake up. What are some of the side effects the rat experienced from sleep deprivation?

Tell me some cognitive impairments of sleep disruption
Name some examples of sleep disorders (dyssomnia)
Tell me about primary insomnia…
Primary insomnia (1-10% population)- most common one
