Define a complex number.
A complex number is quantity of the form z = x + iy, where x, y are real numbers and i is the imaginary unit.
What do we denote the set of complex numbers by?
ℂ
What do we denote the real and imaginary part of a complex number by?
If z = x + iy:
When dividing two complex numbers what do you have to multiply it by?
The complex conjugate of the denominator, ẑ = x - iy
What is the complex conjuagte of z?
ẑ = x - iy
What algebraic properites of ℝ don’t hold in ℂ? And why?
Any inequalitie of the form <, > etc. because ℂ isn’t “ordered”
What diagram do we draw complex numbers on?
Argand diagram
What does complex conjugation look like in an Argand diagram?
Reflection in the real axis
What is the modulus of z?

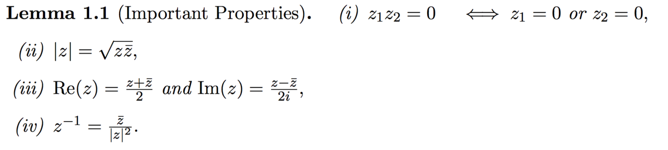
What is the Lemma about four of the useful and basic properties of complex numbers?

In what other types of coordinates can you write compelx numbers?
Polar coordiantes
What is the argument of z?
When written in polar form, it is θ
What are the two ways to write a comlex number in polar form?
What is arg(z) only defined up to?
Multiples of 2π
Define the principle value of arg(z).
The principle value of arg(z) is the value in the interval (-π, π]
How is the principle value of arg(z) denoted?
Arg(z)
What does Re(z) look like on an argand diagram?
Projection onto the real axis
What does Im(z) look like on an argand diagram?
Projection onto imaginary axis
Finish the Lemma: Geometrically, multiplication in ℂ is given by a … ?

Prove the following Lemma.


What is de Moirve’s theorem?
(cos(θ) + isin(θ))n = cos(nθ) + isin(nθ)

What are three additional properties of the modulus |.|?

What are three additional properties of the argument?

Define a complex exponential function.
