Composites basics Flashcards

(9 cards)

1
Q

Under transverse loading of a UD-composite, what are the stresses and strains in the fibers and matrix?

A

The stress is the same both in the fiber and matrix: σT = σf = σm

The strains are different due to different moduli:
ef = σf/Ef
em = σm/Em

How well did you know this?
1
Not at all
2
3
4
5
Perfectly
2
Q

What is the simple model for the transvere modulus in a composite?

A
How well did you know this?
1
Not at all
2
3
4
5
Perfectly
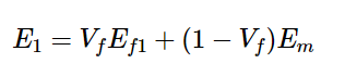
3
Q

What is the simple model for the longditudinal modulus in a composite?

A

(Rule of mixture)

How well did you know this?
1
Not at all
2
3
4
5
Perfectly
4
Q

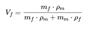
What is the Fiber Volume Fraction in a composite?

A
How well did you know this?
1
Not at all
2
3
4
5
Perfectly
5
Q

What is the density of a fiber composite?

A
How well did you know this?
1
Not at all
2
3
4
5
Perfectly
6
Q

What is the definition of a composite, with its limitations?

A

A material that consists of two or more materials with different properties. Limitations:
1. The different phases of a structural composite have distinct physical and mechanical properties
2. The characteristic dimensions are much larger than molecular dimensions

How well did you know this?
1
Not at all
2
3
4
5
Perfectly
7
Q

What are the difference between isotropic and anisotropic materials?

A
  • Isotropic: uniform properties in all directions
  • Anisotropic: properties varies depending on the direction
How well did you know this?
1
Not at all
2
3
4
5
Perfectly
8
Q

What is a fiber sizing and its functions?

A

Fiber sizing is a surface treatment applied to fibers to enhance their performance, handling, and compatibility with matrix materials in composite manufacturing.

How well did you know this?
1
Not at all
2
3
4
5
Perfectly
9
Q

Under longdidtudinal loading of an unidirectional composite , what is the stresses and strains in the fibers and matrix?

A

Strain in the composite, fibers, and matrix is the same: ε_c = ε_f = ε_m

The stresses are different due to different moduli:
σ_f = E_f ε_c
σ_m = E_m ε_c

How well did you know this?
1
Not at all
2
3
4
5
Perfectly