what is the central limit theorem?
As n→∞, the distribution of the sample mean becomes Normal, with centre µ and standard deviation σ/√n.
This happens regardless of the shape of the original population.
if X bar follows a Normal distribution then,

what is the size of n?
If the distribution of X is normal, then for all n the sample mean will follow a normal distribution.
If the distribution of X is VERY not normal, then we will need a large n for us to see the normality of the distribution of the sample mean.
In all cases, as n gets larger, the distribution of the mean gets more normal.
what are two types of estimators used to estimate population parameters?
Point estimate:
Interval estimate
Describe a point estimate
a single value or point, i.e. sample mean = 4 is a point estimate of the population mean, µ.
describe a confidence interval estimate
interval (range) created around the point estimate .
Includes the population parameter known
E.g. We are 95% confidence that the unknown mean score lies between 56 and 78.
what is the purpose of a confidence interval estimate?
indicates confidence of correctly estimating the value of the population parameter μ
allows you to say with specified confidence that μ is somewhere in the range of numbers defined by the interval
eg. 95% confident that the mean GPA at university is between 2.75 and 2.85
what do we want our estimators to be?
unbiased and consistent
what does it mean when an estimator is unbiased?
expected value of the estimator is the parameter we are trying to estimate
i.e E(X bar) = U
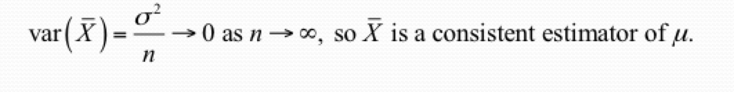
what does it mean when an estimator is consistent?
if the difference between the estimator and the parameter gets smaller as the sample gets larger.

what are ways to improve the estimator?
point estimate is good but we…
would like some way to show how confident we are in our estimator.
in practice, what is the problem with increasing sample size (Increasing n) for the purposes of improving the estimator?
in practice, can’t keep increasing n indefinitely!
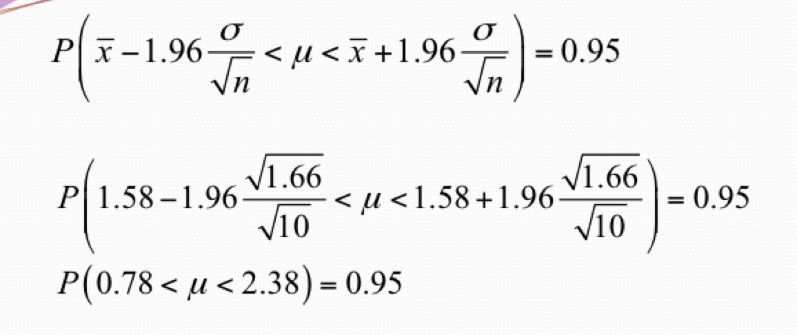
show what a 95% confidence interval for μ looks like

what does
95% confidence interval for μ refer to?
in repeated sampling, 95% of the intervals created this way would contain μ and 5% would not.
we can change how confident we are by changing?
are by changing the 1.96
Use 1.645 to get a 90% confidence interval
Use 2.33 to get a 98% confidence interval

what does this mean?

lIf the experiment were carried out multiple times, 95% of the intervals created in this way would contain μ.
lLCL: 0.78, UCL: 2.38
In general, a 100(1-α)% confidence interval estimator for μ is given by

<!--StartFragment-->
What does 100(1-α)% mean<!--EndFragment-->
If we want 95% confidence, α=0.05 (or 5%).
If we want 90% confidence, α=0.10 (or 10%).
If we want 99% confidence, α=0.01 (or 1%).
What does Zα/2 mean?
We want to find the middle 100(1- α)% area of the standard normal curve:
So the area left in each tail will be α/2.
Zα/2 is the point which marks off area of α/2 in the tail

<!--StartFragment-->
How can we change the width of the interval?<!--EndFragment-->
1. Vary the sample size: as n gets bigger, the interval gets narrower.
2. vary the confidence level: If we want to be more confident, then we simply change the 1.96 to another number from the standard normal, 2.33 will give 98% confidence, 2.575 will give 99% confidence; increasing confidence will make the interval wider.
what are useful z values?

what changes from sample to sample?
the INTERVAL that changes from sample to sample.
describe µ
µ is a fixed and constant value. It is either within the interval or not.