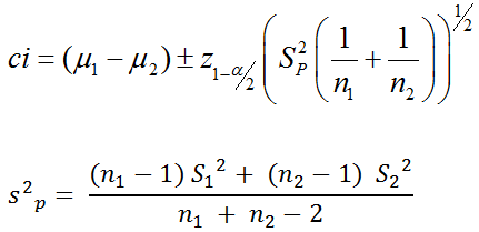
Confidence Interval for Difference of Means
(Common Variance)
Confidence interval for means of common variance is normally distributed:
Confidence Interval for Sample from Normally Distributed Population
Binomial Proportion Confidence Interval
The approximation is usually justified by the central limit theorem. The formula is
How to Calcuate a Confidence Interval for a Line of Regression
For a best fit line of least squares linear regression:

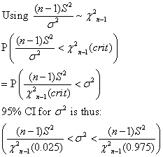
How to Calculate Confidence Interval for Population Standard Deviation from Sample Standard Deviation (or variance)?
Given a normally distributed sample with:
n - observations
S - sample standard deviation
To get 95% confidence interval:

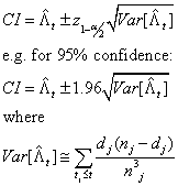
Confidence Interval for Nelson Aalen Integrated Hazard

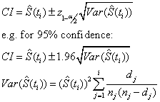
Confidence Interval for Kaplan Meier Estimate of Survival Function
