Qual é a definição de elipse?
E = {P/ 2a >2c = FF’ e PF + PF’ = 2a}
Qual é a definição da hipérbole?
H = {P/ 2a < 2c = FF’ e |PF + PF’| = 2a}
Qual é a definição da parábola?
P = {Q/ d(Q, d) = QF}
Identifique as variáveis na elipse e dê seus nomes.

F e F’: focos.
a: semi-eixo maior.
b: semi-eixo menor.
c: semi-distância focal.

Identifique as variáveis na parábola e dê seus nomes.

F: foco.
d: diretriz.
p: parâmetro

Identifique os elementos na hipérbole e dê seus nomes.

F e F’: focos.
a: semi-eixo real ou transverso.
b: semi-eixo imaginário ou não transverso.
c: semi-distância focal.
Dê as excentricidades das cônicas.
Dê as relações fundamentais da elipse e da hipérbole.
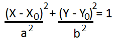
Dê a equação canônica da elipse com eixo maior paralelo ao eixo x.

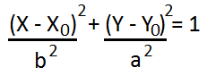
De a equação canônica de uma elipse com eixo maior paralelo ao eixo y.

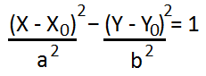
Dê a equação canônica de uma hipérbole com eixo real paralelo ao eixo x.

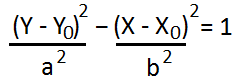
Dê a equação canônica de uma hipérbole com eixo real paralelo ao eixo y.

Dê a equação canônica da parábola com diretriz paralela ao eixo y e concavidade para a direita.
(y - y0)2 = 2*(p)*(x - x0)2
Dê a equação canônica de uma parábola com diretriz paralela ao eixo y e concavidade para a esquerda.
(y - y0)2 = 2*(-p)*(x - x0)2
Dê a equação canônica de uma parábola com diretriz paralela ao eixo x e concavidade para cima.
(x - x0)2 = 2*(p)*(y - y0)2
Dê a equação canônica de uma parábola com diretriz paralela ao eixo x e concavidade para baixo.
(x - x0)2 = 2*(-p)*(y - y0)2
Dê as fórmulas dos raios vetores em função da abscissa do ponto para uma elipse de focos no eixo x e centro na origem.
PF = a - e*x
PF’ = a + e*x
De as fórmulas dos raios vetores em função da abscissa do ponto para uma hipérbole de focos sobre o eixo x e centro na origem.
PF = e*x - a
PF’ = e*x + a
PF = -e*x + a
PF’ = -e*x - a
Dê a fórmula do raio vetor em função da abscissa do ponto para uma parábola.
A distância do ponto ao foco é a mesma da distância do ponto a diretriz. Logo basta usar a fórmula da distância entre ponto e reta.
O que é o parâmetro de uma elipse?
É a metade da corda focal perpendicular ao eixo maior.
p = b2/a
Definimos como parâmetro da hipérbole o valor p = b2/a para que as equações polares dos raios vetores se assemelhem aos da elipse.
O que é o latus retum?
É o dobro do parêmetro da elipse, o que equivale a dizer que é a corda focal máxima.
Discorra sobre as assíntotas da hipérbole.
Basta isolar o y na equação da hipérbole e teremos que o coeficiente angular é igual ao y tendendo ao infinito dividido pelo x
Logo os coeficientes angulares das assíntotas são dados por +b/a ou -b/a.
As assíntotas são as diagonais do retângulo fundamental da hipérbole.
Quando a = b, a hipérbole é dita equilátera e o seu retângulo fundamental é um quadrado.
O que é a circunferência principal?
Definição válida para elipses e hipérboles: é a circunferencia cujo centro coincide com o da elipse / hipérbole e o raio vale a.
O que são as circunferências diretoras?
Conceito válido para elipses e hiperboles: são as de centro em F e F’ e raio 2a.