What is the formulation for standard form in constrained optimization?
(hint: any particular problem could be arranged into this form)
(German’s Notes)









What is the Lagragian function?



What are the KKT conditions?

What are the implications of


If there is only one active inequality constraint, the convex cone collapses to a…
line, so the objective function’s gradient must point in exactly the opposite direction as the inequality constraint’s gradient

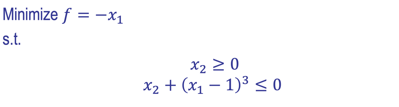
What is the drawing of f, g1, and g2 from this example problem?


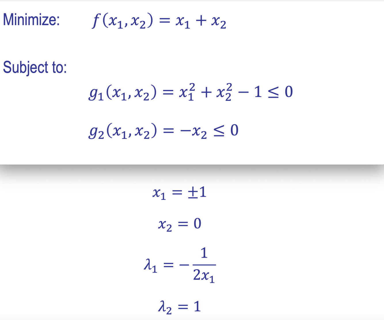
What is the lagragian of this example problem?


What are the second and third KKT conditions of this example problem?

If given two points that satisfy KKT conditions 2 and 3. Which, if either, could be the constrained minimum? Draw it out


Even if you can “solve” a constrained optimization problem using the KKT conditions to find a point 𝒙* , we are not guaranteed that the point is a local optimum. Why is that?
The reason is that the KKT conditions are only “necessary” conditions for a constrained local optimum. We would need to meet the “sufficient” conditions to guarantee a local optimum.
Do the KKT Conditions Always Apply?
No.
The KKT Conditions apply only if the constraints satisfy some regularity conditions called “constraint qualifications.”
A commonly applied condition is that the gradients of the active constraints must be linearly independent at the point at which the KKT conditions are being checked.
Other less restrictive conditions also exis
How would you draw this?


What are the two general types of approaches for solving constrained optimization problems
For indirect methods, what is the pseudo-objective function?

What are Sequential Unconstrained Minimization Techniques (SUMTs)?
SUMTs are indirect methods for constrained optimization.
Used to deal with the issue that the steepness of the penalty function may cause numerical ill- conditioning when unconstrained algorithms are applied.
What are the three general types of indirect methods?
In the exterior penalty function method, the penalty function 𝑝(x) is formulated as

In the exterior penalty function method, what is the corresponding pseudo-objective?

Describe the Exterior Penalty Function Method
The exterior penalty function increases the objective only when the search proceeds in the region exterior to the feasible region, i.e. within the infeasible region.