Contingency Analysis Flashcards

(26 cards)

1
Q

describe the response and explanatory variables in contingency analysis

A

both are CATEGORICAL variables

How well did you know this?
1
Not at all
2
3
4
5
Perfectly
2
Q

what does a contingency analysis test

A

tests and estimates associations between categorical variables

How well did you know this?
1
Not at all
2
3
4
5
Perfectly
3
Q

what does a contingency analysis test between two categorical variables

A

whether they are independent of each other

How well did you know this?
1
Not at all
2
3
4
5
Perfectly
4
Q

does one variable in a continency test tell us about the other

A

NO - are independent

How well did you know this?
1
Not at all
2
3
4
5
Perfectly
5
Q

what is a 2 x 2 table

A

a table where there are two categorical variables with TWO levels EACH

How well did you know this?
1
Not at all
2
3
4
5
Perfectly
6
Q

what is the probability of success variable

A

p

How well did you know this?
1
Not at all
2
3
4
5
Perfectly
7
Q

what is the probability of failure

A

1 - p

How well did you know this?
1
Not at all
2
3
4
5
Perfectly
8
Q

what is the association between the probability of success and failure

A

they are mutually exclusive

How well did you know this?
1
Not at all
2
3
4
5
Perfectly
9
Q

how to calculate odds of success for a sample data set

A
How well did you know this?
1
Not at all
2
3
4
5
Perfectly
10
Q

what is an odds ratio (OR)

A

a ratio used to quantity the difference between the odds in different groups

How well did you know this?
1
Not at all
2
3
4
5
Perfectly
11
Q

how to calculate the odds ratio of a sample data set

A
How well did you know this?
1
Not at all
2
3
4
5
Perfectly
12
Q

what is the OR ratio when the odds of both groups are the same

A

1

How well did you know this?
1
Not at all
2
3
4
5
Perfectly
13
Q

what is the OR when event in first group is HIGHER than the second group

A

O1 is greater than O2

How well did you know this?
1
Not at all
2
3
4
5
Perfectly
14
Q

what is the OR when event in first group is LOWER than the second group

A

O1 < )2

How well did you know this?
1
Not at all
2
3
4
5
Perfectly
15
Q

what is a shortcut for calculating the OR ratio for the sample

A
How well did you know this?
1
Not at all
2
3
4
5
Perfectly
16
Q

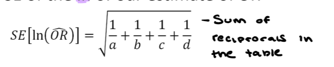
how to calculate the standard error of the sample odds ratio

17
Q

what is the confidence interval for the ln(OR)

18
Q

what are two tests done under contingency analysis

A
  1. chai squared contingency test
  2. fisher’s exact test
19
Q

what does the chai squared contingency test do

A

tests the goodness of fit to the data of the null model of INDEPENDENCE of the variables

20
Q

what type of table does a chai squared contingency test usually apply to

A

2 x 2 x 3 tables

21
Q

what type of table does a fisher’s exact test usually apply to

22
Q

how to find expected frequencies for chai squared contingency test

23
Q

how to calculate test stat for chai squared contingency test

24
Q

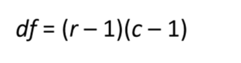
degrees of freedom for chai squared contingency test

A

r = total row
c = total column

25
what does the chai squared contingency test test
the null hypothesis of no association between variables (independent) between 2 OR MORE categorical variables
26
does the fisher's exact test give exact P value
YES