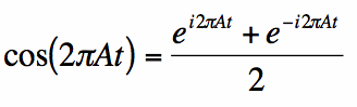
FT of Cosine

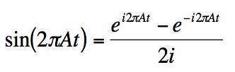
FT of Sine

Laplace transform of this combination
Remember this!!
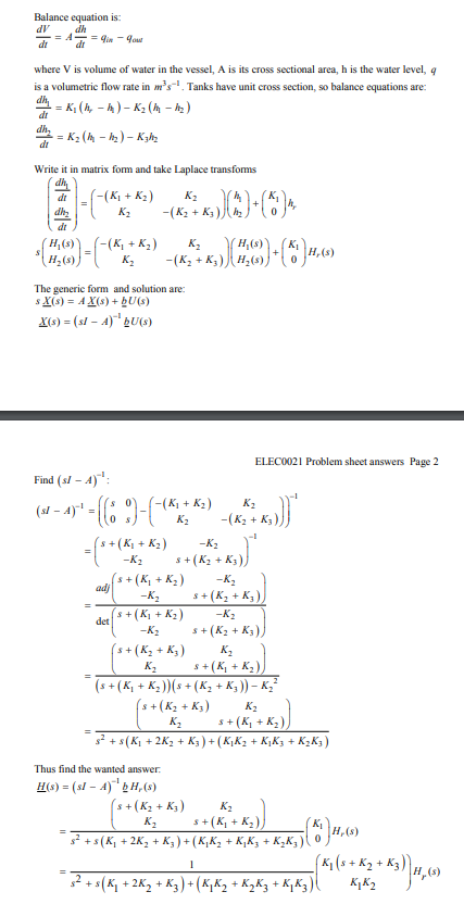
State Space - Volumetric balance Equation
Transfer functions and harmonic inputs
Do c)
Do b)
Why do we use State Space?
Do a)
What is the inverse of a 2x2 matrix?
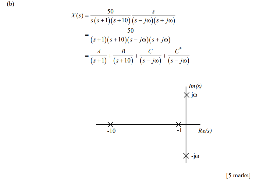
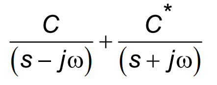
Decomposing a s-domain function into a partial fraction: Finding the unkown coefficients
Final value from the s-domain: If all that is required is the final or steady state value of the signal f(t), what is the equation?
Final value in the time domain:
Set derivatives to zero for the steady state solution
Do the first part: deriving the matrix equation shown.
Do the second part: final value theorem
Draw the block diagram
What equation should you use to calculate values in a routh array?
-(1/cornervalue) times determinant of 2x2 matrix in question
make sure to multiply a to d and b to c, traditional determinant calculation.
Forget about the other method…
Also key thing to remember is the negative.
If you get a 0 for a place in the first column of a routh array calculation what do you need to do?
place a variable that represents a very small positive value, like ε.
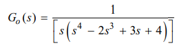
Use the Routh Hurwitz stability method to investigate the stability of the closed loop system
Use the Routh Hurwitz stability method to investigate the stability of the closed loop system
When looking at stability conditions of a closed loop system with a undefined K, what is the stability of the system if K is only found for the s0 value in the first column?
Stable for all K values.
s0 does not affect the stability condition.
Do d)
State the final value theorem and explain its derivation. [6 marks]
What is the (1+ s 𝜏) format?
when s is divided by a value
not multiplied.