Coordinate Geometry Flashcards

(6 cards)

1
Q

Equation of a circle formula

A

(x-a)^2 + (y-b)^2 = r^2

How well did you know this?
1
Not at all
2
3
4
5
Perfectly
2
Q

what is the equation of the circle with centre (0,3) and radius 2

A

x^2 + (y-3)^2 = 2^2

How well did you know this?
1
Not at all
2
3
4
5
Perfectly
3
Q

does the circle with the equation

(x-8)^2 + (y-15)^2 = 17^2

pass through the origin

A

yes

(0-8)^2 + (0-15)^2 = 289
64 + 225 = 289
289 = 289

is the number is less than 289 then it is within the circle and if it is greater than 289 then it is outside the circle

How well did you know this?
1
Not at all
2
3
4
5
Perfectly
4
Q

equation to find the length of a line between two coordinates

A

length^2 = (y1 -y2)^2 + (x1-x2)^2

How well did you know this?
1
Not at all
2
3
4
5
Perfectly
5
Q

the perpendicular bisector of any chord will

A

pass through the centre of a circle

How well did you know this?
1
Not at all
2
3
4
5
Perfectly
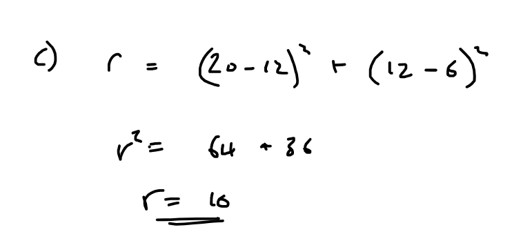
6
Q

find the radius of the circle

A
How well did you know this?
1
Not at all
2
3
4
5
Perfectly