Point Slope Form for Equation of a line.
Point (x1, y1) with slope m

Distance Formula

When are lines parallel?
The lines have the same slope.
m1=m2
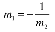
When are lines perpendicular?
When the slopes are negative reciprocales.

How do you prove a right angle?
By showing that the sides are perpendicular based on the slopes of the segments.
How do you prove two segments are congruent?
By showing the segments are the same length based on the distance formula.
When two lines intersect the result is a ______.
When two lines intersect the result is a point.
The intersection of two planes form a ________
The intersection of two planes form a line.
Equation of a line in Slope-Intercept format.

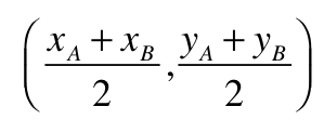
Midpoint of a Line Segment
Midpoint Coordinate
Add the ends together and divide in half.
