
Quantitative Characterization of cortical cell response properties using moving (drifting)


Tuning characteristics of cortical neurons measured with sine wave grating stimuli. This is the quantitative version of experiments performed by Hubel and Wiesel. Notice that each neuron is tuned along multiple dimensions and the variability of a neuron’s response increases with its response rate. What are the consequences of these receptive field properties?
Relationship between contrast response function measured with an fMRI in humans and the average contrast response function of single neurons measured in primary visual cortex of the macaque monkey.


Behavioral contrast sensitivity.

The behavioral contrast sensitivity function probably reflects the combined neural contrast sensitivity of many cortical neurons, each tuned to a particular range of frequencies. Similarly (but not shown), behavioral contrast sensitivity as a function of orientation reflects the combined neural contrast sensitivity of many cortical neuros each tuned to a particular range of orientations. This “multiple channels” hypothesis is plausible if the neurophysiology description of primary visual cortex is accurate, but is there any independent behavioral evidence for this hypothesis?

Multiple Channels Hypothesis.

One line of evidence for the multiple channels hypothesis comes from pattern adaption studies. This slide shows the effect of adaptation to a particular spatial frequency on the contrast sensitivity function.

An example of the orientation adaption effect.
Here is how the orientation adaption effect is predicted by the multiple channel hypothesis.


Another line of evidence comes from pattern masking studies. Here is a single vertical (0 degree tilt) grating

Here is a low contrast grating, tilted 90 degrees that has been added to the high contrast vertical grating. Not that the low contrast grating is very visible.
Low contrast grating

Here, a low contrasted grating titlited 5 deg to the left has been added to the high contrast grating. Note that this is nearly invisible. The multitude channel hypothesis predicts this result.

Here a low contrast 5-deg tilted grating has been added, but it has a higher spatial frequency. Note that the low contrast grating becomes visible again. The result is also preducted by the multple channel hypothesis.

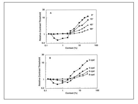
Here are results from a careful behavioral study showing the effect of changing contrast, orientation, and spatial frequency of a maskting grating on threshold for detecting a two cycle per degree target grating.
Simultaneious Brightness contraast. This second (lower) demonstration is consisted with properties of neuron responses in visual cortex.


A masking effect not easily explained by the properties of cortical neurons

Example of texture pair that should be easy to segment (but is not).
Example of a texture pair that should be harder to segment, but is easier.


The gray scale (luminance) is the same for the two squares in the checerboard; in fact, it is exactly the same gray shown at the tails of the arrows. Illustrates how perception may reflect the complex properties of the environment. Figure by Edward Adelson.