Counting Formulas Flashcards

(9 cards)

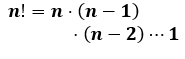
1
Q

Combinations Formula

Permutations of n items

A
How well did you know this?
1
Not at all
2
3
4
5
Perfectly
2
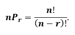
Q

Permutations of r items out of n items:

A
How well did you know this?
1
Not at all
2
3
4
5
Perfectly
3
Q

Permutations of n items arranged in a circle

A
How well did you know this?
1
Not at all
2
3
4
5
Perfectly
4
Q

Combinations
C(n,r) - Select r things from n items

A
How well did you know this?
1
Not at all
2
3
4
5
Perfectly
5
Q

Combination with repetition

(Selecting n things from r types of things)

A
How well did you know this?
1
Not at all
2
3
4
5
Perfectly
6
Q

Number of handshakes among n people

A
How well did you know this?
1
Not at all
2
3
4
5
Perfectly
7
Q

Circular Handshakes
(only shake with immediate neighbors on your left and right)

A
How well did you know this?
1
Not at all
2
3
4
5
Perfectly
8
Q

Distribute n identical items into r groups

A

(Stars And Bars) / Sticks And Stones

How well did you know this?
1
Not at all
2
3
4
5
Perfectly
9
Q

(Bowling Pin)/Triangular Numbers

Formula for n-th triangular number

A
How well did you know this?
1
Not at all
2
3
4
5
Perfectly