Counting Statistics Flashcards

(21 cards)

1
Q

Systematic errors produce results that

A

differ consistently from the correct result by some fixed amount (inaccurate)

How well did you know this?
1
Not at all
2
3
4
5
Perfectly
2
Q

Random errors are variations in results

A

from one measurement to the next, arising from physicial limitations of the system or from actual random variations of the quantity being measured

How well did you know this?
1
Not at all
2
3
4
5
Perfectly
3
Q

_________ errors are always present in radiation counting and other measured data

A

random

How well did you know this?
1
Not at all
2
3
4
5
Perfectly
4
Q

The percentage uncertainty is calculated by

A
How well did you know this?
1
Not at all
2
3
4
5
Perfectly
5
Q

Confidence interval with 1 σ

A

68.3%

How well did you know this?
1
Not at all
2
3
4
5
Perfectly
6
Q

Confidence interval with 2 σ

A

95%

How well did you know this?
1
Not at all
2
3
4
5
Perfectly
7
Q

Confidence interval with 3 σ

A

99.7 %

How well did you know this?
1
Not at all
2
3
4
5
Perfectly
8
Q

For radiation counting measures, the standard deviation is approximately

A
How well did you know this?
1
Not at all
2
3
4
5
Perfectly
9
Q

The Gaussian and Poisson distributions are very close with then number of samples is

A

> 10

How well did you know this?
1
Not at all
2
3
4
5
Perfectly
10
Q

For a series of counting measurements with individual results N1, N2, N3,

σ =

A

the square root of the sum of the squares of individual standard deviations

How well did you know this?
1
Not at all
2
3
4
5
Perfectly
11
Q

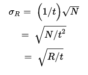
For counting rate (R), the uncertainty σ is

A
How well did you know this?
1
Not at all
2
3
4
5
Perfectly
12
Q

The percentage uncertainty in the count rate (R) is

A
How well did you know this?
1
Not at all
2
3
4
5
Perfectly
13
Q

For two counting rates, for example comparing the difference, the total uncertainty is

A

square root of sum of squares of individual count rates

How well did you know this?
1
Not at all
2
3
4
5
Perfectly
14
Q

The uncertainty and percentage uncertainty in a count rate and a background count rate are

A
How well did you know this?
1
Not at all
2
3
4
5
Perfectly
15
Q

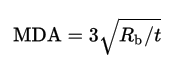
The minimum detectable activity of a radionuclide (statistically significant with a counting rate increase of 3σ)

A

3 x uncertainty of background count rate

How well did you know this?
1
Not at all
2
3
4
5
Perfectly
16
Q

Two problems caused by high count rates

A
  1. High background counting rates are undesirable because they increase uncertainties in net sample counting rates
  2. Small differences between relatively high counting rates can have relatively large uncertainties
17
Q

The estimated counting time (knowing the approximate net and sample counting rates, R’s and R’b)

18
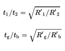
Q

Dividing the counting time most effectively to minimize the statistical error, the ratio of t1 and t2 relative to the counting rates R1 and R2 is

19
Q

Chi-squared (χ2) can be calculated as

A

(n-1)σ2 / mean

or

20
Q

In a Chi-squared test, P refers to the probability that random variations observed in a series of n measurements

A

equal or exceed the χ2 value

21
Q

In general for a chi-squared test, p-values within the range of _____________ are considered acceptable

A

.05 to .95

(staying within the expected range of deviations)