cours 3 Flashcards

(59 cards)

1
Q

quest ce que la fiabilité

A

une représentation mathématique de la consistance d’un test

How well did you know this?
1
Not at all
2
3
4
5
Perfectly
2
Q

les scores de fiabilité peuvent varier entre …

A

entre 0 et 1, et les tests dont la fiabilité est supérieure ou égale à 0,7 sont considérés comme fiables.

techniquement, ce chiffre nous indique quelle proportion du score d’une personne est due à l’élément que nous essayons de mesurer plutôt qu’à une erreur aléatoire dans le test

How well did you know this?
1
Not at all
2
3
4
5
Perfectly
3
Q

quelle est la différence entre validité et fidélité (fiabilité)

A
  • La validité s’intéresse à ce
    qu’un test mesure en déterminant s’il mesure effectivement ce qu’il est censé mesurer.
  • La fidélité ne s’intéresse qu’à la constance et à la repro- ductibilité de la mesure, sans égard à l’objet que celle-ci est censée mesurer.

une mesure peut être fidèle sans être valide, mais jamais valide sans être fidèle

How well did you know this?
1
Not at all
2
3
4
5
Perfectly
4
Q

quelles sont les 4 distinctions à faire sur la fidélité

A
  1. la fidélité d’un test évoque sed dimensions technique et quantitative. Un test fidèle, en psychométrie, donne de façon constante le même résultat ou des résultats similaires pour un individu.
  2. le résultat peut être reproduit, à tout le moins à l’intérieur d’une certaine marge d’erreur.
  3. Le changement réel du trait mesuré ne constitue pas une source d’erreur de mesure. mais les changements temporaires sont des erreurs (si ce sont des fluctuations individuelles par ex)
  4. erreurs systématiques vs aléatoires. systématique -» surviennent tjrs (augmente ou réduit systématiquement les résultats attendus pour un individu ou un groupe et survient en raison de facteurs étrangers au test.)
    ex : Par exemple, le niveau d’intelligence d’un enfant hispanophone à qui l’on fait passer un test en français. Le niveau d’intelligence de l’enfant sera sans doute sous-estimé, et la sous-estimation sera relativement constante, que l’enfant fasse el test un lundi ou un mercredi.
How well did you know this?
1
Not at all
2
3
4
5
Perfectly
5
Q

une corrélation nous informe sur..

A

sur la NATURE et la FORCE de la relation entre deux variables.
- Aussi, il est une mesure de la variabilité des scores y pour chaque valeur de x par rapport à la variabilité totale des scores y.
- Le coefficient est grand si la variabilité du score y pour chaque score x est faible.
- une corrélation peut être comprise entre -1,0 et +1,0
- Distingue les relations positives/négatives.
- Si la valeur absolue de r est proche de 1,0, la relation est considérée comme forte, si elle est proche de 0, la relation est faible.

How well did you know this?
1
Not at all
2
3
4
5
Perfectly
6
Q

quest ce que la taille d’effet

A

la quantité de variance expliquée dans une corrélation
- Un autre nom pour cela est le coefficient de détermination. il est représenté par r2

How well did you know this?
1
Not at all
2
3
4
5
Perfectly
7
Q

force de la taille d’effet

A

Petite : .10 - .30, Moyenne : .30-.50, Forte : >.50

How well did you know this?
1
Not at all
2
3
4
5
Perfectly
8
Q

donne un exemple avec r = .534 -» r2= .285

A

X est responsable de 28,5% de la variation de Y
- l’inverse est également correct

How well did you know this?
1
Not at all
2
3
4
5
Perfectly
9
Q

quest ce qui est essentiel de se rappeler sur la corrélation

A

«la corrélation n’implique pas la causalité»

How well did you know this?
1
Not at all
2
3
4
5
Perfectly
10
Q

pourquoi «la corrélation n’implique pas la causalité»

A
  • Il ne suffit pas de dire que x cause y.
  • Vous devez établir par quel processus cela se produit et pourquoi.
  • Pour ce faire, on recherche souvent des “médiateurs” dans une relation.
  • Le contexte est important
    Si X est lié à Y dans un contexte mais pas dans un autre, peut-être que X ne cause pas Y ou qu’une troisième variable est en jeu.
How well did you know this?
1
Not at all
2
3
4
5
Perfectly
11
Q

comment lire une matrice de corrélation

A

pour lire une matrice de corrélation, vous devez trouver la ligne et la colonne où les variables se croisent et le nombre que vous trouvez représente la relation entre les deux variables.

par exemple - la relation entre le score de QI et la note d’examen dans cette image est de .33

How well did you know this?
1
Not at all
2
3
4
5
Perfectly
12
Q

Une fois la corrélation (r) établie entre deux variables (Xet Y), on peut prédire, à partir de cete relation, l’état d’Y d’après la connaissance que l’ona de X (ou l’inverse). comment cela s’appelle

A

droite de régression

How well did you know this?
1
Not at all
2
3
4
5
Perfectly
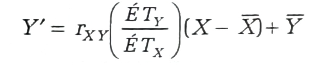
13
Q

quelle est la formule de la droite de régression

A

y’=bX+a

où b est la pente de la droite de régression et a est le point d’intersection sur l’axe des.y

How well did you know this?
1
Not at all
2
3
4
5
Perfectly
14
Q

comment calculer de manière algébrique la droite de régression

A


rxy = la corrélation entre X et Y;
ÉTx = l’écart type de X;
ÉTy = l’écart type d’Y;
X = le score de la personne au questionnaire X:
X barré = la moyenne des résultats X;
Y barré = la moyenne des résultats Y.

How well did you know this?
1
Not at all
2
3
4
5
Perfectly
15
Q

droite de régression

Évidemment, les scores Y réels ne tombent pas tous exactement sur la droite d’estimation (sauf
quand r = +1,00 ou -1,00). On apercoit quelques scores Y éparpillés autour de la droite des scores Y réels. cest quoi

A

Cette distribution présente un écart type nommé erreur type d’estimation. Àpartir des caractéristiques de la distribution normale le fait, par exemple, que 68 %des cas se trouvent àl’intérieur d’un écart type de +/-1)

How well did you know this?
1
Not at all
2
3
4
5
Perfectly
16
Q

droite de régression

quelle est la formule de l’écart type erreur type d’estimation

A


ÉTy = l’écart type pour el test que concerne la prévision;
r2xy= al corrélation entre el test pour lequelon fait une prédiction et celui à partir duquel on la fait.

How well did you know this?
1
Not at all
2
3
4
5
Perfectly
17
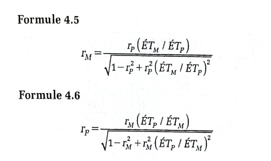
Q

nomme les Facteurs influant sur les coefficients de corrélation (4)

A
  1. Linéarité (Figure 4.5)
  2. Hétéroscedasticité (Figure 4.6)
  3. Position relative (et non absolue) (Figure 4.2)
  4. Hétérogénéité du groupe (Figure 4.7)
    Un problème important
    Voir les formules de correction (4-5, 4-6) & Tableau 4.3
How well did you know this?
1
Not at all
2
3
4
5
Perfectly
18
Q

Facteurs qui influencent r

explique le facteur de la linéarité

A

La corrélation de Pearson tient compte de la portion linéaire de al relation (illustrée par la ligne droite), mais non de al tendance non linéaire dont témoigne la courbe.

How well did you know this?
1
Not at all
2
3
4
5
Perfectly
19
Q

Facteurs qui influencent r

explique l’Hétéroscedasticité

A

es scores d’Y sont présumés être distri bués normalement autour des scores dY’ prévus (Y’) et le degré de dispersion est supposé être el même
pour tous les points situés le long de la droite d’estimation. Il s’agit alors d’une hypothèse d’homoscédasticité (dugrec, signifiant «dispersion égale ».) Or, il arrive que la distribution bivariée montre une hétéroscédasticité (dispersion inégale),

alors l’écart type nest pas le mm pour toutes les variables

How well did you know this?
1
Not at all
2
3
4
5
Perfectly
20
Q

Facteurs qui influencent r

explique la position relative avec cet exemple de tableau

A

ici, on voit que la correlation nest forte entre a et b et ils ont la mm moyenne. b et c ont pas la mm moyenen, pourtant la correlation est aussi forte que entre a et b

donc la correlation n’exige pas l’égalité des scores absolus

How well did you know this?
1
Not at all
2
3
4
5
Perfectly
21
Q

Facteurs qui influencent r

explique l’Hétérogénéité du groupe

A
  • lorsque un groupe est homogène, ca veut dire que son étendue (distance entre la valeur max et min) est petite -» cela crée une corrélation faible.
  • lorsque un groupe est hétérogène, ca veut dire que son etendue (distance entre la valeur max et min) est grande -» cela crée une corrélation forte
How well did you know this?
1
Not at all
2
3
4
5
Perfectly
22
Q

Facteurs qui influencent r

donne les formules pour arranger les corrélations selon gorupe hétéro ou homo

A
  • la formule 4.5 permet d’estimer r dans un groupe plus hétérogène à partir du r obtenu dans un groupe plus homogène.
  • La formule 4.6 permet d’estimer r dans un groupe plus homogène à partir du r obtenu dans un groupe hétérogène.


rm = al corrélation pour el groupe el moins restreint;
rp = la corrélation pour le groupe le plus restreint;
ÉTm = l’écart type dans el groupe el moins restreint;
ETp = l’écart type dans el groupe le plus restreint.

How well did you know this?
1
Not at all
2
3
4
5
Perfectly
23
Q

Facteurs qui influencent r

en utilisant les formules pour arranger les corrélations des groupes homogènes et hétérogènes, explique quand la correction de r a des effets + importants

A

lorsque la variabilité est beaucoup plus faible dans legroupe homogène que dans le groupe hétérogène.
Les corrections relatives à l’homogénéité du groupe ont très peu d’effet sur les corrélations très faibles (moins de 0,10) ou très fortes (plus de 0,90). Lacorrection n’en- traîne jamais dechangement sur le sens de la relation.

How well did you know this?
1
Not at all
2
3
4
5
Perfectly
24
Q

quelles sont les causes principales de la non-fiabilité (4)

A
  1. Type de correction du test : cohérence de la notation entre les juges, tout le monde a-t-il suivi les mêmes lignes directrices, etc
  2. Contenu du test : variations dans l’échantionnage du test, un test a 2 questions sur pythagore vs test 2 en a seulement 1
  3. conditions dadministration du test
  4. circonstances personnelles : l’état physique ou psychique de la personne influe sur le résultat du test.
25
# Cadre conceptuel: la théorie du score vrai-modele theorique de fidelité cest quoi la TCT
théorie classique des tests (TCT)
26
# théorie classique des tests (TCT) quelle est lequation de la TCT
O=V+E - O= score Observé - V = score Vrai/réel - E = Erreur O = la note/chiffre/score obtenue par le test V = le niveau vrai/réel du "trait"/"capacité"/"attitude". E = l'erreur est la fluctuation de leurs scores introduite par des sources externes ET aléatoires. (peut etre positive ou negative)
27
# Implications de TCT théorie du score vrai en termes de variance des scores.
la variance du score observé est égale à la variance du score vrai et à la variance de l'erreur - Variance (O) = variance (V) + variance (E) - Rappel: Variance = ET2 (ecart type) - ET2 (O)= ET2 (V) + ET2 (E)
28
Si vous vous souvenez bien, j'ai dit : les chiffres associés à la fiabilité nous indique quelle proportion du score d'une personne est due à l'élément que nous essayons de mesurer plutôt qu'à une erreur aléatoire dans le test Nous pouvons donc exprimer la fiabilité en utilisant les termes et les composantes du TCT. La définition technique de la fiabilité est la suivante :
le ratio entre la variance du score vrai et la variance du score observé. En d'autres termes: les coefficients de fiabilité reflètent la proportion de la variance du score vrai par rapport à la variance du score observé donc Rxx = var(V)/var(O)
29
# Quel test est le plus fiable ? exemple calcul : Test 1 : variance observée = 12 ; variance du score vrai = 9. Test 2 : variance observée = 18 ; variance du score vrai = 15
Rxx = var(V)/var(O) rxx1 = 9/12 = 0.75 rxx2 = 15/18 = 0.83 test 2 est + fiable que test 1 nous pouvons alors dire que 83 % du score d'une personne au test 2 reflète la variation du score vrai.
30
# Méthodes servant à déterminer la fidélité nommes les (4)
1. Test-retest 2. Interjuges 3. Versions parallèles 4. Cohérence interne (homogénéité)
31
# Méthodes servant à déterminer la fidélité quest ce que la fidélité test-retest
l'administration du même test aux memes personnes a deux occasions, généralement à une journée ou à un mois d'intervalle. Le coefficient de fidélité est lacorrélation (habituellement une corrélationde Pearson) entre les scores obtenus la première et la seconde fois.
32
# Méthodes servant à déterminer la fidélité fidélité test-retest évalue quelle fluctuations (3)
1. cette méthode évalue **l'influence des fluctuations de la condition physique et mentale** des candidats 2. La méthode test- retest peut cibler, mais pas forcément, des variations liées à la **façon dont le test est administré**, selon qu'il l'est dans al même pièce, par al même personne, etc.,. 3. il peut aussi cibler, mais pas forcément, des **variations entre évaluateurs**, selon qu'il est éva- lué les deux fois par la même personne ou selon le même procédé.
33
# Méthodes servant à déterminer la fidélité fidélité test-retest, quels sont les 3 inconvénients
1. ne tient visiblement pas compte deserreurs aléatoires attribuables aux variationsde contenu. 2. cette méthode est difficilement applicable. Qui a envie de s'infliger un test de quatre heures deux fois en deux semaines? 3. effet d'expérience, si les 2 test refaiit trop rapidement, et si pas assez, possibilité de trop gros changements
34
# Méthodes servant à déterminer la fidélité quest ce que la fidélité interjuge
la fidélité interjuges évalue les variations aléatoires attribuables aux personnes qui corrigent le test. ex : On fait corriger deux fois les copies d'un test auquel ont répondu un groupe de candidats. Le coeffi- cient de fidélité est tout simplement la corrélation, habituellement une corrélation de Pearson, entre les scores attribués par le premier et le second évaluateur. donc La fidélité interjuges renseigne sur les erreurs aléatoires attribuables aux variations entre les evaluateurs. En matière de fidélité, on recourt habituellement au CCI (coefficient de corrélation intraclasse.)pour déterminer la fidélité Interjuges ou interobservateurs
35
# Méthodes servant à déterminer la fidélité quelles sont les forces et limites de la fidélité interjuge (2 chaque)
force : 1. facile à déterminer (On fait corriger deux fois les copies d'un test auquel ont répondu un groupe de candidats.) 2. renseigne sur les erreurs aléatoires attribuables aux variations entre les evaluateurs limites : 1. évaluateurs doivent travailler separement 2. ne revele rien sur les autres types d'erreurs
36
# Méthodes servant à déterminer la fidélité quest ce que la méthode des versions parallèles
utiliser 2 versions d'un test. L'étude de fidélité faisant appel à la méthode des versions parallèles consiste à admi- nistrer les deux versions d'un test aux mêmes can- didats. On obtient la fidélité par des versions parallèles en calculant la corrélation - habituelle- ment de Pearson - entre les scores obtenus aux deux versions du test. donc faut que mm fiabilité Test1 Variance (O) = Test2 Variance (O) Test1 variance (V) = Test2 Variance (V) Test1 variance (E) = Test2 variance (E)**** ***mais non corrélé (pcp si corrélation erreur pas aléatoire, donc probleme avec ton test)
37
# Méthodes servant à déterminer la fidélité quest ce que la cohérence interne
++ utilisée, 3 méthodes pour le faire 1. Coefficient de fidélité déterminé par bissection 2. Formules de Kuder-Richardson 3. Alpha de Cronbach
38
# Méthodes servant à déterminer la fidélité cohérence interne : quest ce que le Coefficient de fidélité déterminé par bissection
on prend un test, et on le divise en deux, on corrige chacunes des 2 parties comme etant 2 tests parallèles et on corrèle ensuite les scores des 2
39
# Méthodes servant à déterminer la fidélité quelles sont les implications de la fidélité déterminée par bissection. (cohérence interne)
1. habituellement, test pas scindé en sa moitié, dhabitude on le fait selon fidélité pair-impair 2. la corrélation entre les deux moitiés du test n'exprime pas la fidélité du test en entier. Elle donne la fidélité d'un test deux fois moins long que celui auquel on s'intéresse vraiment(cest une sous-estimation). iI faut donc faire une correction a la corrélation calculée entre les deux moitiés du test pour connaître la fidélité du test en entier. Cette correction s'appelle correction de Spearman-Brown,
40
# Méthodes servant à déterminer la fidélité quelle est léquation Spearman Brown
Rappelez-vous que j'ai mentionné que lorsque nous augmentons la longueur d'un test, nous constatons souvent des améliorations de la fiabilité. En utilisant cette formule, nous pouvons faire deux choses demander si mon test était x fois plus long ou plus court, quelle serait sa fiabilité ? Aussi nous pouvons manipuler un peu l'équation et l'utiliser pour poser la question suivante : combien de fois plus long ou plus court devrait être mon test si je voulais qu'il ait une fiabilité d'une valeur x. rxx = fiabilité du test original rxx* = fiabilité du nouveau test k*= ratio longueur du nouveau test/ longueur de l'ancien test
41
# exemple1 Spearman Brown nous avons un test à 5 items avec une fiabilité de 0,52. En utilisant la formule de spearman brown, nous pouvons poser la question suivante : quelle serait notre fiabilité si le test était 3 fois plus long ?
Par conséquent, un test dont la fiabilité initiale est de 0,52 et qui comporte 5 items aura une fiabilité de 0,76 s'il comporte 15 items (5x3).
42
# exemple2 Spearman Brown Si j'ai un test qui a une fiabilité initiale de 0,52 et que je veux augmenter la fiabilité de mon test à 0,8, combien de fois le test actuel doit-il être plus long pour atteindre ce nouveau niveau de fiabilité ? comment rearrange t'on la formule et calcule le
43
# exemple2 Spearman Brown Si j'ai un test qui a une fiabilité initiale de 0,52 et que je veux augmenter la fiabilité de mon test à 0,8, combien de fois le test actuel doit-il être plus long pour atteindre ce nouveau niveau de fiabilité ? et calcule le
notre test devrait être 3,8 fois plus long pour atteindre une fiabilité de 0,8. Nous multiplions ensuite 3,8 par 5 items et découvrons que notre test devrait comporter 19 items au total pour atteindre ce résultat.
44
# Méthodes servant à déterminer la fidélité cohérence interne, explique cest quoi Formules de Kuder-Richardson
permet d'estimer la fidélité pour des test dichotomiques (ou la réponse est vrai/faux, oui/non donc rep numerique est 1 ou 0) calcul + simple, mais mtn pas besoin de calcul simple avec l'ère des ordi donc vieux et pas pertinent
45
# Méthodes servant à déterminer la fidélité cohérence interne ; quest ce que l'alpha de cronbach
permet calculer fidelité mm si test avec echelle continu α = alpha = Coefficient de Cronbach [Cronbach’s alpha] Le coefficient alpha de Cronbach est la moyenne de toutes les estimations possibles de la fidélité déterminée par bissection. *On doit se rappeler le rai sonnement derrière la méthode de la bissection: elle consiste en quelque sorte à créer une version réduite des versions parallèles. On applique main- tenant ce raisonnement aux items individuels. Il est possible de voir chaque item comme une ver. sIon reduite d u test. On est alors tenté de voir la façon dont chacune de ces miniformes (items) est cohérente avec toutes lesautres miniformes du test.*
46
# Méthodes servant à déterminer la fidélité cohérence interne : quelle est la formule de l'alpha de cronbach
k = #items r = correlations entre les items r¯ = la moyenne des corrélations uniques parmi tous les items d'un test (corrélation entre les items différents) #corrélations uniques = [(#items)(#items-1)]/2
47
# alpha de cronbach explique les resultats de a et le niveau de cohérence interne
48
# calculer alpha comment je calcule rbarre
# corrélations uniques = (6*5)/2 1. #corrélations uniques = [(#items)(#items-1)]/2 2. #corrélations uniques = [6(6-1)]/2 3. # corrélations uniques = (6* 5)/2 4. # corrélations uniques = 15 𝑟 ̅ = (.89+.91+.88+.84+.88+.92+.93+.86+.91+.95 +.92+.95+.85+.87+.85) / 15 𝑟 ̅ = 13.41/15 𝑟 ̅ = .894
49
# Calculer Alpha comment je calcule a
1. α= 6(.894)/[1+((6-1)*.894)] 2. α = 5.376/5.48 3. α = .98
50
# Cronbach’s Practice 2 Calculez la fiabilité d'un test à 5 items dont la corrélation moyenne entre items est de 0,18.
α = 5(.18)/[1+(5-1)*.18)] α = .52 Ce n'est pas très bon, que pouvons-nous faire pour l'améliorer ? utiliser la formule Spearman Brown
51
à quoi sert l'apha de cronbach et une limite
En ce qui a trait aux sources d'erreur de mesure présentées plus tôt dans ce chapitre, l'alpha de Cronbach **désigne celle qui est attribuable à l'échantillonnage du contenu.** Il ne mesure pas la source d'erreur de mesure attribuable aux fluctuations survenant dans la façon d'administrer le test ou de el corriger ou les conditions personnelles. limite : Une conséquence étrange de la théorie classique des tests est que les tests comportant un plus grand nombre d'éléments de qualité égale auront un coefficient alpha de Cronbach naturellement plus élevé.
52
quest ce que Erreur Type De Mesure (ETM) et la formule
Une autre façon de tirer parti des informations sur la fiabilité est de combiner ce que nous savons sur la fiabilité avec ce que nous savons sur les écarts types et les distributions normales. L'ETM est l'écart type d'un nombre théorique infini de scores obtenus avoisinant le score vrai d'une personne. formule : 𝐸𝑇√1−𝑟𝑥𝑥
53
# Erreur Type De Mesure L'ETM peut être utilisée pour calculer
un intervalle de confiance pour un score individuel au test. 1. L'ETM est une propriété du test - pas de l'individu. 2. On peut en quelque sorte considérer qu'il s'agit d'un moyen de mesurer la "précision" d'un test en raison de sa fiabilité.
54
# Erreur Type De Mesure exemple calcul : Si nous avons un test ou votre score observé est 10. pour ce test il y a un ET de 2 et que la fiabilité est de .80 nous pouvons déterminer que
ETM = 𝐸𝑇√1−𝑟𝑥𝑥 ETM = 2*√1−.80 ETM =2∗√0.2 ETM = .89 Score observé 10 +/- .89
55
# Erreur Type De Mesure avec un distribution normale, pourcentage qui se trouve dans 1ET, 2ET, 3ET et explique cet exemple
1. 68% des scores se situent entre +/- 1ET 2. 95% des scores se situent entre +/- 2ET 3. 99.7% des scores se situent entre +/- 3ET exemple : Les relevés de scores produits par ordinateur utilisent souvent un intervalle de confiance. La figure 4.9 en montre un exemple. L'intervalle de confiance pour le test A va de 9 à 17, le score observé étant de 13. L'intervalle de confiance pour le test Bs'étend de 24 à 36, autour d'un score observé de 30. Ce type de relevé prévoit habituellement un intervalle d'ETM de +/-1, soit essentiellement un intervalle de confiance de 68 %, bien que l'on puisse aisement utiliser un intervalle de 95 % (ETM de +/-1,96) ou de 99 % (ETM de +/-2,58).
56
explique ce graphique avec le ETM et fiabilité
1. lorsque la fiabilité du test est élevée, vous aurez des valeurs ETM très faibles et produirez une distribution étroite comme celle de gauche, car vos scores comporteront moins d'erreurs en raison de la fiabilité. 2. lorsque la fiabilité du test est faible, vous obtiendrez la distribution de droite, car l'erreur dans le score est beaucoup plus importante en raison de la fiabilité, et vous aurez donc un éventail plus large de scores possibles pour un individu.
57
quelles sont les 3 types d'erreurs type
.1 Erreur type de mesure: Indice d'erreur attribuable a un manque de fidélité 2. Erreur type de la moyenne: Indice d'erreur attribuable a un echantillonnage aléatoire 3. Erreur type d'estimation: Indice d'erreur pour estimer Y d'après X
58
quelles sont les 4 questions en lien avec la fidélité
1. Les rapports détaillés : faut bien interprété et dire de maniere narrative les resultat, 2. Les sous-tests et les items traités individuellement : les items d'un test sont moins fidèles que le test en soi, donc faut pas juste prendre quelque items pour evaluer qqch 3. Les profils : lorsqu'il y a une tendance dans les resultats de pls tests, attention la fidélité est + forte pour chaque test individuellement que si on prend un score qui compose pls tests (pcq erreur type de différence, on additionne les erreurs types pour les scores individuels) 4. les tests critériés : test dont on utilise un critère de réussite arbitraire, majorité du temps avec distribution normale, mais faut faire attention si la distribution est asymétrique
59
quest ce que la théorie de la généralisabilité
Dans la théorie de la généralisabilité, on appelle souvent ce score vrai **score univers**. Si une personne se prête à des tests à plusieurs occasions, dans toutes sortes de versions et avec plusieurs evaluateurs différents le score vrai de cette personne, ou son score univers, représente le score moyen de toutes les occasions, de toutes les versions et de tous les évaluateurs.