Cours 5 Flashcards

(26 cards)

1
Q
  • Dans quel test statistique est utilisé la statistique de test t?
  • Formule:
A

Dans un test de Student:

How well did you know this?
1
Not at all
2
3
4
5
Perfectly
2
Q

Le test de student et valide si (2):
Alternative du test de student?

A
  • la taille d’échantillon est assez grande

et/ou

  • il y a une distribution normale de la variable dans les deux populations comparées

Si ce n’est pas le cas, alternative: Test de Mann-Whitney (utilise le rang des observation)

How well did you know this?
1
Not at all
2
3
4
5
Perfectly
3
Q

Principe du test Student (si H0 est vraie et que les moyennes des deux échantillons sont proches -> (2)):

A
  • Différence des moyennes proche de 0
  • Plus la différence des moyennes est grande, plus les données contredisent H0
How well did you know this?
1
Not at all
2
3
4
5
Perfectly
4
Q

Pourquoi le test de Student?
Quels sont les H0 et Ha?

A

Pour comparer 2 groupes (moyennes)

How well did you know this?
1
Not at all
2
3
4
5
Perfectly
5
Q

Pourquoi le test du Chi-2?
Quels sont les H0 et Ha?

A

Pour comparer 2 proportions (entre 2 groupes)

How well did you know this?
1
Not at all
2
3
4
5
Perfectly
6
Q

Calcul de la statistique de test X2 (test du Chi-2)

A

Attention, zone des rejet de ce test est différente des autres!
X2 est toujours positive et proche de 0 (≠ stat de tes t)

How well did you know this?
1
Not at all
2
3
4
5
Perfectly
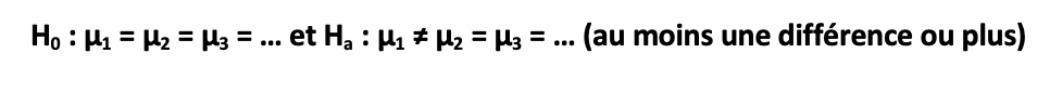
7
Q

Pourquoi le test ANOVA?
Quels sont les H0 et Ha?

A
  • Comparaison de moyennes de 3 groupes ou plus
    => On regarde à quel point la variance de l’ensemble est différente des la variance de chaque groupe
  • H0: si les moyennes sont égales
    -> variance de l’ensemble = variance de chaque groupe
    Ha: Si les moyennes des groupes sont différentes (au moins une)
    -> variance de l’ensemble > variance au sein de chaque groupe
How well did you know this?
1
Not at all
2
3
4
5
Perfectly
8
Q

Est-ce que le test ANOVA tient compte d’un ordre éventuel dans les groupes comparés?

A

NON!
-> Il ne permet pas non-plus de dire quels sont les groupes qui diffèrent

How well did you know this?
1
Not at all
2
3
4
5
Perfectly
9
Q
  • Le test du Chi-2 est valide si:
  • Test alternatif?
A
  • La population testée (effectif théorique) est plus grande que 5
  • Si ce n’est pas le cas, test alternatif: Test de Fisher
How well did you know this?
1
Not at all
2
3
4
5
Perfectly
10
Q

Test statistique pour une variable qualitative comparée entre 2 groupes:

A

Chi-2 (Fisher)

How well did you know this?
1
Not at all
2
3
4
5
Perfectly
11
Q

Test statistique pour une variable qualitative comparée entre 3 groupes ou plus:

A

Chi-2 (Fisher)

How well did you know this?
1
Not at all
2
3
4
5
Perfectly
12
Q

Test statistique pour une variable quantitative continue comparée entre 2 groupes:

A

Student (Mann-Whitney)

How well did you know this?
1
Not at all
2
3
4
5
Perfectly
13
Q

Test statistique pour une variable quantitative continue comparée entre 3 groupes ou plus:

A

ANOVA

How well did you know this?
1
Not at all
2
3
4
5
Perfectly
14
Q

Test statistique pour une association entre problème de santé QUALITATIF et une exposition avec 2 ou + niveaux de réponse:

A

Chi-2

How well did you know this?
1
Not at all
2
3
4
5
Perfectly
15
Q

Test statistique pour une association entre problème de santé QUANTITATIF et une exposition avec 2 niveaux de réponse:

A

Student (Mann-Whitney)

How well did you know this?
1
Not at all
2
3
4
5
Perfectly
16
Q

Test statistique pour une association entre problème de santé QUALITATIF et une exposition avec 3 ou + niveaux de réponse:

17
Q

Tests statistiques pour une association entre problème de santé qualitatif avec 2 niveaux de réponse et une exposition QUANTITATIVE:

A
  • Student (Mann-Whitney)
  • Régression logistique
18
Q

Test statistique pour une association entre problème de santé QUANTITATIF et une exposition QUANTITATIVE:

A
  • Coefficient de corrélation
  • Régression linéaire
19
Q

Test statistique pour une association entre problème de santé qualitatif avec 3 ou + niveaux de réponse et une exposition QUANTITATIVE:

20
Q

La taille de l’échantillon est d’autant plus grande que (2):

A
  • La différence à détecter est petite
  • La puissance visée est grande
21
Q

Quand utiliser les test de Student?

A
  • 2 groupes comparés + variable quantitaive continue
  • 2 interventions + outcome quantitatif
  • Exposition avec 2 niveaux de réponse et problème de santé quantitatif
  • Exposition quantitative et problème de santé qualitatif avec 2 niveaux de réponse
22
Q

Quand utiliser les test du Chi-2?

A
  • 2/ 3 ou + groupes comparés + variable qualitative
  • 2 ou + interventions + outcome qualitatif
  • Exposition avec 2 ou + niveaux de réponse et problème de santé qualitatif
23
Q

Quand utiliser les test ANOVA?

A
  • 3 ou + groupes comparés + variable quantitaive continue
  • 3 ou + interventions + outcome quantitatif
  • Exposition avec 3 ou + niveaux de réponse et problème de santé qualitatif
  • Exposition quantitative et problème de santé qualitatif avec 3 ou + niveaux de réponse
24
Q

Test statistique pour 2 ou + interventions (qualitative) et un outcome qualitatif (essai clinique randomnisé):

25
Test statistique pour **2** _interventions (qualitative)_ et un _outcome_ **quantitatif** (essai clinique randomnisé):
Student (Mann-Whitney)
26
Test statistique pour **3 ou +** _interventions (qualitative)_ et un _outcome_ **quantitatif** (essai clinique randomnisé):
ANOVA