Brainscape
Find Flashcards
Discover millions of Flashcards
Browse Brainscape-Certified Flashcards
Learn faster with our catalog of expert certified, pre-made flashcards.
Browse All Flashcards
Browse our full catalog of user-generated and Brainscape-Certified flashcards.
Explore the
Knowledge Genome
of subjects:
Entrance Exams
Professional Certifications
Foreign Languages
Medical & Nursing
Science
English
Humanities & Social Studies
Mathematics
Law
Vocations
Health & Fitness
Business & Finance
Technology & Engineering
Food & Beverage
Fine Arts
Random Knowledge
Make Flashcards
How It Works
Features Overview
The Science of Studying
Educators
Schools & Teachers
Tutors & Resellers
Businesses
Employee Training
Publishers & Resellers
Academy
Academy Homepage
The Science of Studying
Study Tips
Teaching Tips
Employee Training Tips
Language Learning Tips
Test Prep Tips
Log in
My Dashboard
Get Started
Log out
Calculus
> d) Trigonometry review: Some Function Values on the Unit Circle > Flashcards
d) Trigonometry review: Some Function Values on the Unit Circle Flashcards
(24 cards)
Study These Flashcards
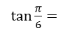
1
Q
A
How well did you know this?
1
Not at all
2
3
4
5
Perfectly
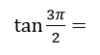
2
Q
A
How well did you know this?
1
Not at all
2
3
4
5
Perfectly
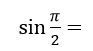
3
Q
A
How well did you know this?
1
Not at all
2
3
4
5
Perfectly
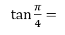
4
Q
A
How well did you know this?
1
Not at all
2
3
4
5
Perfectly
5
Q
A
How well did you know this?
1
Not at all
2
3
4
5
Perfectly
6
Q
A
How well did you know this?
1
Not at all
2
3
4
5
Perfectly
7
Q
A
How well did you know this?
1
Not at all
2
3
4
5
Perfectly
8
Q
A
How well did you know this?
1
Not at all
2
3
4
5
Perfectly
9
Q
A
How well did you know this?
1
Not at all
2
3
4
5
Perfectly
10
Q
A
How well did you know this?
1
Not at all
2
3
4
5
Perfectly
11
Q
A
How well did you know this?
1
Not at all
2
3
4
5
Perfectly
12
Q
A
How well did you know this?
1
Not at all
2
3
4
5
Perfectly
13
Q
A
How well did you know this?
1
Not at all
2
3
4
5
Perfectly
14
Q
A
How well did you know this?
1
Not at all
2
3
4
5
Perfectly
15
Q
A
How well did you know this?
1
Not at all
2
3
4
5
Perfectly
16
Q
Study These Flashcards
A
17
Q
Study These Flashcards
A
18
Q
Study These Flashcards
A
19
Q
Study These Flashcards
A
20
Q
Study These Flashcards
A
21
Q
Study These Flashcards
A
22
Q
Study These Flashcards
A
23
Q
Study These Flashcards
A
24
Q
Study These Flashcards
A
Calculus
flashcards
Decks in class (19)
# Cards
a) Trigonometry review: Soh-Cah-Toa
6
b) Trigonometry review: Reciprocal Identities
6
c) Trigonometry review: Degrees to Radians
8
d) Trigonometry review: Some Function Values on the Unit Circle
24
e) Trigonometry review: Double Angle Identities
5
f) Trigonometry review: Some additional identites
7
g) Trigonometry review: Sum and Difference identities
6
h) 2.3 - Limit Laws
5
i) 3.1 - Some derivative rules
7
j) 3.2 - Product and Quotient rules
2
k) 3.3 - Derivatives of Trigonometry functions
6
l) 3.4 - Chain rule; derivative of exponential
2
m) 3.5 - Derivatives of Inverse Trig functions
6
n) 3.6 - Derivatives and Laws of Logs
7
o) 3.9 - Algebra review: geometric formulas
7
p) 3.11 - Definitions of Hyperbolic functions
6
q) 3.11 - Derivatives of Hyberbolic functions
6
r) 3.11 - Some Hyperbolic identities
6
s) 3.11 - Derivatives of Inverse Hyperbolics
6