Q1 est en position (en fonction de n) Q3 est en position (en fonction de n)
0.25(n+1) position 0.75 (n+1) position
Variance de la population

Variance empirique

Coefficient de variation

Loi normale standard

taux de sondage
n/N
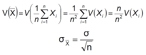
Espérance de la moyenne empirique
La moyenne empirique est donc …
μ
Sans biais
Ecart-type (et variance) de la moyenne empirique (si tirage se fait indépendemment avec remise)

Si le tirage n’est pas indépendant avec remise et taux de sondage n/N>0,05
Variance de la moyenne empirique :

Moyenne et écart type de la moyenne empirique pour une loi normale
Valable pour toutes les lois par le théorème centrale limite à partir de n= ?
30-40

Approximation normale de ^p
On en déduit la variable standardisée

Distribution d’échantillonnage de la variance
empirique : Cas normal
Espérance et Variance

Distribution d’échantillonnage de la variance
empirique : Cas normal
Distribution

Intervalle de confiance pour μ
(σ2 connue)
cas d’une population normale
(peut aussi s’appliqer pour une population pas normale si n est grand)

Intervalle de confiance pour μ
La population est normalement distribuée N(μ,σ2)
La variance de la population σ2 est inconnue

Intervalle de confiance pour une proportion

Intervalle de confiance pour la variance de la
population : Cas normal

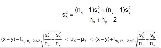
Différence de moyennes: échantillons dépendants
L’estimation ponctuelle de la moyenne
des différences couplées est :
L’écart type empirique est :

Différence de moyennes: échantillons dépendants
l’intervalle de confiance pour la moyenne de la
différence μd , est:

Différence de moyennes:
échantillons indépendants
cas n°1: variances connues

Différence de moyennes:
échantillons indépendants
cas n°2.1: variances inconnues égales
Variance & intervalle de conf

Différence de moyennes:
échantillons indépendants
cas n°2.2: variances inconnues inégales

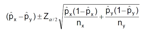
Différence de moyennes (nom dans le cours mais il s’est surement trompé c’est plutôt proportion) :
échantillons indépendants
Grandes tailles
intervalle de conf

Détermination de la taille d’un échantillon
cas d’une grande population
σ connu
