What is a Product Tolerance
Design limits set and defined on an engineering drawing
What is a Process Tolerance
Design Limits achievable via machining process
What are the advantages and disadvantages of Digital Readouts
+ Easy to read
+ Computer Linkable
+ High accuracy/resolution
What is the range, resolution and accuracy of the Linear Transducer

Range: 0-25mm
Resolution: 0.0001mm (1/10 micron)
Accuracy: ±0.0015mm
What is the range, resolution and accuracy of the Digital HT Gauge

RANGE: 0-700 mm
RESOLUTION: 0.001 mm [ONE MICRON]
ACCURACY: +/- 0.005 mm FULL RANGE
What is the range, resolution and accuracy of the Digital Caliper
RANGE: 0-150 mm
RESOLUTION: 0.01 mm [TEN MICRONS]
ACCURACY: +/- 0.03 mm FULL RANGE
What is the range, resolution and accuracy of the MC Tool Transducer
RANGE: - VARIOUS UP TO SEVERAL METRES
RESOLUTION: 0.005 mm [FIVE MICRONS]
ACCURACY: +/- 0.010 mm PER METRE
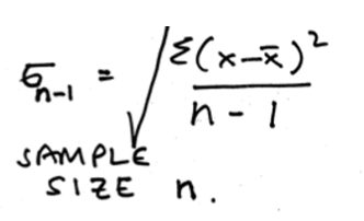
What is the Equation for Standard Deviation of a small sample?
EG n=10

What is the Equation for Standard Deviation of a large sample?
EG N=100

What are the factors affecting Surface Roughness
Tool Geometry + coating
Speed/feed/depth of cut
Material composition
Type of swarf formation
Coolant
Condition of tool
What is the Center Line Average (CLA)
The distance from an imaginary mean line drawn across the surface - taking into account peaks and troughs
What is the CLA equation?
CLA = 2ABC/f (mm/rev)
Where is Surface finish important
Engineering components – Actuators
Aircraft Landing gear
Hydraulic cylinders
Fit and Tolerance
Contact bearings
Sheet metal
Relative production time vs surface finish graph

Roundness
Every Point on circumference has same radius
Talyrond
Scans profile of cylindrical piece, trace provides ideal circle and compares it to actual roundness
Cylindricity
The Cylindricity symbol is used to describe how close an object conforms to a true cylinder.
Cylindricity essentially forms a perfect cylindrical boundary around the object that the entire 3-Dimensional part must lie in.

Machine Capability
Discrete Operation that should be capable of achieving +- 4 sigma
Process Capability
Combination of Variables that should achieve +-3sigma
What are the costs of quality?
Returned goods/recalls/warranty
Reworking/repair/retesting
Inspection costs
Prevention of further issues
Loss of potential earnings - (time spent fixing)
What is the 6 Sigma Equation?

Define what is meant by the surface quality of engineering components.
And describe 2 ways in which finish can be specified on eng drawings
Surface quality refers to the surface finish or texture that is produced on components, it is important because the nature of the finish can enhance performance and appearance.

Define Selective Assembly
Explain where used in ball bearing manufacturing
Selective assembly is used to reduce manufacturing costs & allow wider process tolerance.
this involves 100degC inspection and the grading of parts
selective assembly is also used to optimise the fit between parts

Define SPC
an organised procedure for sampling the output & detecting problems of “out of control” in a process, hence leading to correction of faults & improvement in quality