Decision Theory Flashcards

(16 cards)

1
Q

Was ist die Aufgabe der Entscheidungstheorie?

A
  • Einen belief in eine aktion umzuführen
  • Dies geschieht durch das berechnen eines Loss für eine falsche Entscheidung ohne zu wissen ob wir uns falsch entschieden haben
How well did you know this?
1
Not at all
2
3
4
5
Perfectly
2
Q

Wovon geht die Bayese Entscheidungstheorie aus?

A
  • Der wahre Wert eines Parameters wird als Zufallsvariable betrachtet.
  • Diese Zufallsvariable θ hat eine Wahrscheinlichkeitsverteilung, die basierend auf den beobachteten Daten D bestimmt wird.
  • Die Daten D sind fest und nicht zufällig
  • das Ziel besteht darin, eine Entscheidungsmethode oder einen Schätzwert zu wählen, die systematisch aus den beobachteten Daten D abgeleitet wird.
How well did you know this?
1
Not at all
2
3
4
5
Perfectly
3
Q

Was ist eine optimale Entscheidung im Bayeschen ansatz?

A

Die Beste Aktion ist jene die man nach beobachten der Daten bekommt und den minimalen posterior expected loss hat.

How well did you know this?
1
Not at all
2
3
4
5
Perfectly
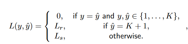
4
Q

Was ist eine reject option?

A
  • Wenn es um sicherheitskritische aktionen geht macht es sinn eine Handlung bei Unsicherheit zurückzuweisen
  • Also sagen wir “ich weiß es nicht” wenn wir unsicher sind
  • Kostenfunktion: Siehe Abbildung
How well did you know this?
1
Not at all
2
3
4
5
Perfectly
5
Q

Wie ist die bayes decision rule bei False Postive vs. False Negative tradeoff?

A
How well did you know this?
1
Not at all
2
3
4
5
Perfectly
6
Q

Wovon geht die Frequentistische Entscheidungstheorie aus?

A
  • Die Werte der Parameter sind Fest und unterliegen keiner Verteilung
  • Die Daten unterliegen einer wahren aber unbekannten Verteilung
  • Es gibt nicht den einen Weg einen estimator zu wählen. Wir dürfen diesen frei wählen
How well did you know this?
1
Not at all
2
3
4
5
Perfectly
7
Q

Was ignoriert der frequentistische ansatz?

A

Der frequentistische Ansatz ignoriert alle Informationen, welche wir aus den Daten ziehen

How well did you know this?
1
Not at all
2
3
4
5
Perfectly
8
Q

Welches Problem gibt es beim auswählen eines frequentistic estimator?

A

Der risk kann nicht berechnet werden um ihn mit anderen estimator zu vergleichen, da wir den wahren Parameter nicht kennen.
Es gibt keinen systematischen Weg einen estimator auszuwählen.

How well did you know this?
1
Not at all
2
3
4
5
Perfectly
9
Q

Welche Arten gibt es einen Estimator zu wählen?

A
  • Bayes Risk
  • Minimax risk
  • Admissible estimator + desirable properties
  • empirical risk minimization
How well did you know this?
1
Not at all
2
3
4
5
Perfectly
10
Q

Wie funktioniert der Bayes Risk?

A
  • Wir nutzen den Bayes ansatz um einen estimator auszuwählen
  • Frequentisten mögen diesebn Ansatz nicht, da wir hier ein prior annehmen müssen
  • Bei diesem Vorgehen treffen sich der Bayes und frequentistische Ansatz
  • Wir minimieren den posterior expected loss für jedes Datenset D
How well did you know this?
1
Not at all
2
3
4
5
Perfectly
11
Q

Wie funktioniert der minimax risk?

A

Wir wählen den Estimator, welcher den geringsten worst-case hat also den kleineren hochpunkt

How well did you know this?
1
Not at all
2
3
4
5
Perfectly
12
Q

Welche Eigenschaften sollte ein Estimator haben?

A
  • Konsistenz: Bei unendlichen vielen Daten soll sich unser Parameter dem wahren Parameter annähern
  • unbiased: Der Erwartungswert unseres geschätzten Parameter ist der wahre Parameter
  • minimum variance: Die Varianz sollte minimal sein
How well did you know this?
1
Not at all
2
3
4
5
Perfectly
13
Q

Was ist der Bias-Variance Tradeoff?

A
  • Unser Risk für die quadratic loss kann in Varianz und Bias aufgeteilt werden
  • Es kann nur eines von beiden minimiert werden nicht aber beides
How well did you know this?
1
Not at all
2
3
4
5
Perfectly
14
Q

Was ist ein admissible estimator?

A

Wenn ein Estimator im vergleich zu anderen immer “schlechter” ist ist dieser admissible und sollte somit nicht gewählt werden.
In der Abbildung sind δ1 und δ3 admissible

How well did you know this?
1
Not at all
2
3
4
5
Perfectly
15
Q

Was ist empirical risk minimization?

A
  • Der frequenztistische loss (risk) kann approximiert werden
  • Dies ist nur möglich, wenn wir annotierte Daten haben bzw zu den Daten x die zugehörigen werte y kennen
  • Dies kann zum lernen genutzt werden
How well did you know this?
1
Not at all
2
3
4
5
Perfectly
16
Q

Wie geht man beim empirical risk minimazation vor?

A
  1. Risikofunktion: Es wird eine Risiko Funktion L(yi,y^i) definiert
  2. Das emprirische Risiko (durchschnitt der Loss funktion) über die verfügbaren Daten berechnen
  3. Minimierung: Die parameter werden so angepasst, dass das empirische Risiko minimiert wird -> Training
  4. Optimierung
  5. Overfitting kann auftreten und muss verhindert werden