Definitions Flashcards

Just to lead (17 cards)

1
Q

Separable

A

can be formed into f(x)dx = f(y)dy

How well did you know this?
1
Not at all
2
3
4
5
Perfectly
2
Q

How to solve a separable ODE

A

integrate both sides. Note that a separable ODE is always easily solvable for y’, but if you cannot separate f(x,y) then it is something else

How well did you know this?
1
Not at all
2
3
4
5
Perfectly
3
Q

Homogenous

A

If f(xt, yt, y’) = tf(x,y,y’)

How well did you know this?
1
Not at all
2
3
4
5
Perfectly
4
Q

How to solve Homogenous ODEs

A

divide the whole equation by the variable that it is homogenous to, if it is homogenous to x and y, pick one. Afterward, you will always have to make the substitution z = f(x,y) usually z = x/y

How well did you know this?
1
Not at all
2
3
4
5
Perfectly
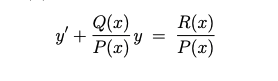
5
Q

Linear ODE

A

ODE linear wrt a variable AND its derivative

How well did you know this?
1
Not at all
2
3
4
5
Perfectly
6
Q

How to solve a Linear ODE

A

First isolate y’, then P/Q becomes your integrating factor, if necessary, otherwise solve directly

How well did you know this?
1
Not at all
2
3
4
5
Perfectly
7
Q

Bernoulli Equations

A

Super close to linear but… also n ≠ 0, 1

How well did you know this?
1
Not at all
2
3
4
5
Perfectly
8
Q

To solve a Bernoulli Equation

A

Depending which variable… then make the z substitution and start over

How well did you know this?
1
Not at all
2
3
4
5
Perfectly
9
Q

Riccati Equation

A

similar to linear, but there’s a squared dependent variable in a 4th term

How well did you know this?
1
Not at all
2
3
4
5
Perfectly
10
Q

How to solve Ricatti Equation

A

Look for a particular solution y1(x) = … then form your new y with that particular solution. When you substitute the new y, you can start over, but will usually have a Bernoulli

How well did you know this?
1
Not at all
2
3
4
5
Perfectly
11
Q
A
How well did you know this?
1
Not at all
2
3
4
5
Perfectly
12
Q

how do you solve an equation that is not a quasi polynomial?

A

You find the homogenous solution, afterwards, you form a particular solution with this as reference, and you do the wronskian ;D

How well did you know this?
1
Not at all
2
3
4
5
Perfectly
13
Q

how do you formulate yh for Euler form with distinct, real x

A

yh = c1x^r1 + c2x^r…

How well did you know this?
1
Not at all
2
3
4
5
Perfectly
14
Q

how do you formulate yh for Euler form with irrational, real x

A

yh = c2|x|^r1…

How well did you know this?
1
Not at all
2
3
4
5
Perfectly
15
Q

how do you formulate yh for Euler form with repeated, real x

A

yh = c1x^r + c2(ln|x|)|x|^r

How well did you know this?
1
Not at all
2
3
4
5
Perfectly
16
Q

simple method for variation of parameters (let C vary ♫ヽ(゜∇゜ヽ)♪♬(ノ゜∇゜)ノ♩♪)

A

generate your yp from yh and solve the system

17
Q

What about