Derivatives Practice Flashcards

(14 cards)

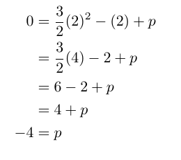
1
Q
A
How well did you know this?
1
Not at all
2
3
4
5
Perfectly
2
Q
A
How well did you know this?
1
Not at all
2
3
4
5
Perfectly
3
Q

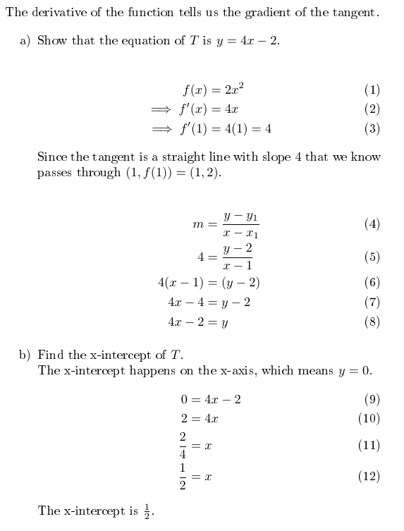
The following diagram shows part of the graph of the function f(x) = 2x2. The line T is the tangent to the graph of f at x = 1.

  1. Show that the equation of T is y = 4x – 2.
  2. Find the x-intercept of T.
A
How well did you know this?
1
Not at all
2
3
4
5
Perfectly
4
Q

Identify the two points of inflexion by looking at the graph.

A

Inflection is where smiley faces turn to frowny faces and vice-versa. This happens at B and D.

How well did you know this?
1
Not at all
2
3
4
5
Perfectly
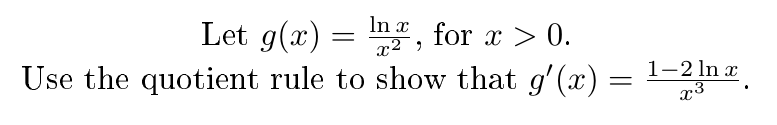
5
Q

Find f’(x).

A
How well did you know this?
1
Not at all
2
3
4
5
Perfectly
6
Q
A
How well did you know this?
1
Not at all
2
3
4
5
Perfectly
7
Q
A
How well did you know this?
1
Not at all
2
3
4
5
Perfectly
8
Q
A
How well did you know this?
1
Not at all
2
3
4
5
Perfectly
9
Q
A
How well did you know this?
1
Not at all
2
3
4
5
Perfectly
10
Q

Write down the x-intercepts of the graph of the derivative function, f.

A

The x-intercepts of any graph are where y=0. So it is asking for the all the places in which f’(x)=0. We know that f’(x)=0 happens at local maxima and minima. Looking at the graph of f, I can see that this happens at x=-3, x=0, and x=2.

How well did you know this?
1
Not at all
2
3
4
5
Perfectly
11
Q

Write down all values of x for which f’(x) is positive.

A
How well did you know this?
1
Not at all
2
3
4
5
Perfectly
12
Q

At point D on the graph of f, the x-coordinate is –0.5. Explain why f′′(x) < 0 at D.

A

When we look at the point on the graph where the x-coordinate is -0.5, it occurs within a frowny face. This means at this point the function is concave down. And the intervals on which a function is concave down are the same ones in which f’‘(x) is negative. Therefore f’’(-0.5) < 0.

How well did you know this?
1
Not at all
2
3
4
5
Perfectly
13
Q
A

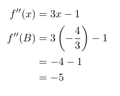
If it’s a maximum, it must be at the top of a frowny face, which means the function is concave down at that point. We just check that f’‘(B) < 0.

How well did you know this?
1
Not at all
2
3
4
5
Perfectly
14
Q
A

We know that A and B are critical/stationary points. This means the derivative of the function at these points has to be zero. Now you just solve f’(A)=0. (You could also solve f’(B)=0, but B looks more annoying.)

How well did you know this?
1
Not at all
2
3
4
5
Perfectly