Descriptive Stats Flashcards

(7 cards)

1
Q

Descriptive stats include

A

mean
median
mode
range
standard deviation

How well did you know this?
1
Not at all
2
3
4
5
Perfectly
2
Q

Inferential Statistics

A

confidence intervals
correlations/regressions
T-tests/ANOVAs
MANOVA/ANCOVA

How well did you know this?
1
Not at all
2
3
4
5
Perfectly
3
Q

Standard Deviation

A

describes overall spread of data
1 SD = 68% of data
2 SD = 95%
3 SD = 99%

How well did you know this?
1
Not at all
2
3
4
5
Perfectly
4
Q

Positive Skew

A
How well did you know this?
1
Not at all
2
3
4
5
Perfectly
5
Q

Negative skew

A
How well did you know this?
1
Not at all
2
3
4
5
Perfectly
6
Q

Confidence Interval

A

estimates how well the sample mean represents the population mean

increases as sample size increases

How well did you know this?
1
Not at all
2
3
4
5
Perfectly
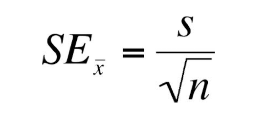
7
Q

Standard Error of the Mean

A

used to compute the confidence interval

SE = standard error of the mean
s = standard deviation of the sample
n= sample size

How well did you know this?
1
Not at all
2
3
4
5
Perfectly