Design Flashcards

(17 cards)

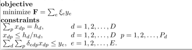
1
Q

Aufschreiben eines Design Problems für Minimierung der Linkkosten (DP) Dimensionierungs Problem - alle variablen Erklären

A
How well did you know this?
1
Not at all
2
3
4
5
Perfectly
2
Q

Was muss man tun, wenn man dafür sorgen will, dass der Verkehr immer über mindestens 2 Pfade geleitet wird?

A

einführen eines Diversity Faktors n_d. Wenn über 2 Pfade geiltet werden soll dann n_d = 2. Beim Ausfall eines Pfades würden dann trotzdem noch 100/n_d % = 50% des Bedarfes transportieren.

How well did you know this?
1
Not at all
2
3
4
5
Perfectly
3
Q

Link Auslastung

A
How well did you know this?
1
Not at all
2
3
4
5
Perfectly
4
Q

Notationen Bedarf und fixe Kapazität

A
How well did you know this?
1
Not at all
2
3
4
5
Perfectly
5
Q

Notation variable Kapazität und gängige Pfad variable

A
How well did you know this?
1
Not at all
2
3
4
5
Perfectly
6
Q

Notation für Delta und Epsilon

A
How well did you know this?
1
Not at all
2
3
4
5
Perfectly
7
Q

Notation Aes

A
How well did you know this?
1
Not at all
2
3
4
5
Perfectly
8
Q

DR-U

A
How well did you know this?
1
Not at all
2
3
4
5
Perfectly
9
Q

Notation 0 dps

A
How well did you know this?
1
Not at all
2
3
4
5
Perfectly
10
Q

DR-R

A
How well did you know this?
1
Not at all
2
3
4
5
Perfectly
11
Q

Was ist günstiger DR_R oder DR-U

A

Lösungen für DR-R (eingeschränkte Rekonfiguration) sind nie billiger als Lösungen für DR-U (uneingeschränkte Rekonfiguration), die es ermöglichen, alle Ströme zu verschieben, auch diejenigen, die von einem Ausfall nicht betroffen sind Der Lösungsraum von DR-R ist im Allgemeinen eine geeignete Teilmenge des Lösungsraums von DR-U Optimale Lösungen für DR-R sind nicht unbedingt optimale Lösungen für DR-U

How well did you know this?
1
Not at all
2
3
4
5
Perfectly
12
Q

Aufstellen der Formel mit Diverity Faktor

A
How well did you know this?
1
Not at all
2
3
4
5
Perfectly
13
Q

Erkläre den Unterschied zwischen Link restoration und path restoration

A

Link Restore: nutze Ausweich-Pfad um Link zu ersetzen, packe extra Kapazitäten dazu. Path Restore: (Un-) Restricted: reiße (alle bzw. nur betroffene) Pfade ab, mache neu.
- Vor- und Nachteile: zB. Link Restore kann zu unnötigen Hops / Loops führen

How well did you know this?
1
Not at all
2
3
4
5
Perfectly
14
Q

Wofür benutzt man delta_edp? Füge es zur Optimierung hinzu

A

im Capacity constraint um zu definieren ob ein Pfad zu einem Link gehört

How well did you know this?
1
Not at all
2
3
4
5
Perfectly
15
Q

Wie werden die Kosten beschrieben?

A

in der Minimierungsfunktion mit epsilon_e

How well did you know this?
1
Not at all
2
3
4
5
Perfectly
16
Q

Erkläre, wie man Link-Kosten optimiert (Uncapacitated Dimensioning Problem) Was optimiert das, was hat man davon?

A

Shortest-Path-Allocation Rule? Für jede Nachfrage wird das gesamte Nachfragevolumen dem kürzesten Weg zugeordnet

(unter Berücksichtigung der Verbindungsstückkosten und der in Frage kommenden Wege)

Wenn es mehr als einen kürzesten Weg für einen Bedarf gibt, dann kann das Nachfragevolumen beliebig auf die kürzesten Wege aufgeteilt werden

17
Q

Protection erklären

A

Maßnahme zur Wiederherstellung vor einem Ausfall, typischerweise zum Schutz vor Ausfällen einzelner Verbindungen

Reservierung von Ressourcen zum Zeitpunkt wo der Flow auf einem Pfad eringerichtet wird

Die Wiederherstellung ist garantiert, da die Schutzpfade (Backup-Pfade) im Voraus berechnet werden und die Schutzkapazität reserviert ist.
Wiederherstellung vom Pfad auf den Protection Pfad
nach einem Ausfall