Deskriptive Datenanalyse I Flashcards

(29 cards)

1
Q

Deskriptive Statistik vs. Inferenzstatistik

A

Deskriptive Statistik: Beschreibt, bereitet auf und fasst Daten zusammen mithilfe von Kennwerten, Tabellen und Abbildungen.
Inferenzstatistik: Verallgemeinert Kennwerte und Analyseergebnisse auf die Population.

How well did you know this?
1
Not at all
2
3
4
5
Perfectly
2
Q

Wichtige Kennwerte in psychologischen Studien

A

Anteile/Häufigkeiten
Lagemaße: Modus, Median, Mittelwert
Streuungsmaße: Spannweite, Interquartilsabstand, Varianz, Standardabweichung
Unterschiede
Zusammenhänge

How well did you know this?
1
Not at all
2
3
4
5
Perfectly
3
Q

Anteile und Häufigkeiten

A

Skalenniveau: Bestimmt das Datenformat und die mathematische Verwertbarkeit.
Nominalskalenniveau: Ermöglicht Bestimmung von Anteilen und Häufigkeiten.
Darstellung: Kreisdiagramm, Häufigkeitsdiagramm.

How well did you know this?
1
Not at all
2
3
4
5
Perfectly
4
Q

Verteilung von Daten

A

Verteilung: Daten verteilen sich auf die möglichen Ausprägungen einer Variable.
Information: Verteilung liefert wertvolle Informationen über die Variabilität von Merkmalen.
Darstellung: Häufigkeitsverteilungen zeigen Werte einzelner Personen.

How well did you know this?
1
Not at all
2
3
4
5
Perfectly
5
Q

Lagemaße - Übersicht

A

Zentrale Tendenz: Daten konzentrieren sich bei bestimmten Ausprägungen.
Lagemaße: Modus, Median, Mittelwert.
Bedeutung: Bestimmen die “Lage” einer Verteilung auf der Achse der Merkmalsausprägungen.

How well did you know this?
1
Not at all
2
3
4
5
Perfectly
6
Q

Modus (Modalwert)

A

Definition: Die Merkmalsausprägung, die am häufigsten vorkommt.
Skalenniveau: Sinnvoll ab Nominalskalenniveau.
Anwendung: Nützlich bei der Analyse von Nominaldaten.

How well did you know this?
1
Not at all
2
3
4
5
Perfectly
7
Q

Median

A

Definition: Die Merkmalsausprägung, die in der Mitte der Verteilung liegt.
Skalenniveau: Sinnvoll ab Intervallskalenniveau.
Vorteil: Robuster gegenüber schiefen Verteilungen.

How well did you know this?
1
Not at all
2
3
4
5
Perfectly
8
Q

Berechnung des Medians

A

1.Werte der Größe nach sortieren.
2.Median ist der mittlere Wert.
3.Liegt die Mitte zwischen zwei Werten, ist der Median der Mittelwert dieser beiden.
Formel: Tiefe (Median) = (N+1):2.

How well did you know this?
1
Not at all
2
3
4
5
Perfectly
9
Q

Mittelwert (Arithmetisches Mittel)

A

Definition: Die mathematische Mitte der Verteilung.
Berechnung: Summe aller Einzelwerte, geteilt durch die Anzahl der Werte.
Skalenniveau: Sinnvoll ab Intervallskalenniveau.
Vorteil: Exakteste Angabe der Lage einer Verteilung.

How well did you know this?
1
Not at all
2
3
4
5
Perfectly
10
Q

Anfälligkeit des Mittelwerts

A

Anfällig für: Ausreißer und schiefe Verteilungen.
Alternative: Der Median kann robuster und manchmal sinnvoller sein.

How well did you know this?
1
Not at all
2
3
4
5
Perfectly
11
Q

Der Sinn der Lagemaße

A

Ziel: Zusammenfassung von Verteilungen, repräsentieren die zentrale Tendenz.
Fokus: Mittelwert wird oft für weitere Berechnungen (z.B. Gruppenunterschiede) genutzt.

How well did you know this?
1
Not at all
2
3
4
5
Perfectly
12
Q

Streuungsmaße - Übersicht

A

Wichtiger Hinweis: Traue keinem Lagemaß ohne Streuungsmaß!
Skalenniveau: Streuungsmaße sind sinnvoll ab Intervallskalenniveau.
Arten: Spannweite, Interquartilsabstand, Varianz, Standardabweichung.

How well did you know this?
1
Not at all
2
3
4
5
Perfectly
13
Q

Spannweite (Range)

A

Definition: Differenz zwischen dem kleinsten und dem größten Wert.
Berechnung: Range = x(max) - x(min).
Anwendung: Gibt die Gesamtstreuung der Werte an.

How well did you know this?
1
Not at all
2
3
4
5
Perfectly
14
Q

Interquartilsabstand (IQA)

A

Definition: Differenz zwischen dem 75%- und dem 25%-Quartil.
Berechnung: IQA = Q(75%) - Q(25%).
Vorteil: Lässt Ausreißer unberücksichtigt, wird oft zusammen mit dem Median angegeben.

How well did you know this?
1
Not at all
2
3
4
5
Perfectly
15
Q

Berechnung des Interquartilsabstands

A

1.Werte der Größe nach sortieren.
2.Zahlenreihe in vier gleich große Abschnitte teilen (Quartile).
3.Der IQA ergibt sich aus den Werten bei 25% und 75%.

How well did you know this?
1
Not at all
2
3
4
5
Perfectly
16
Q

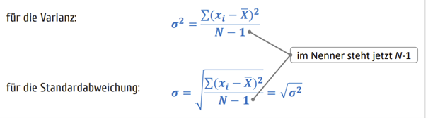
Varianz (s²)

A

Definition: Durchschnittliche quadrierte Abweichung aller Werte vom Mittelwert.

Formel:

Vorteil: Liefert die exakteste Angabe über die Streuung der Daten.

17
Q

Standardabweichung (s)

A

Definition: Wurzel der Varianz, gibt die Streuung in den Rohwerten an.

Formel:

Abkürzungen: s oder SD (Standard Deviation).

Darstellung: Übliche Darstellung von Lage- und Streuungsmaßen: M = … (SD = …).

18
Q

Kennwerte vs. Parameter

A

Kennwerte: Angaben über Stichprobendaten, werden mit lateinischen Buchstaben dargestellt.
Parameter: Angaben über Populationswerte, werden mit griechischen Buchstaben dargestellt.
Darstellung: Beide werden immer kursiv geschrieben.

19
Q

Streuungsmaße über die Population

A

Hinweis: Streuungsmaße aus Stichproben sind oft keine guten Schätzungen für die Population.
Schätzung: Populations-Schätzung wird mit griechischen Buchstaben dargestellt, manchmal mit einem Dach über dem Symbol (z.B. ).

20
Q

Texte und Tabellen

A

Fließtext: Wenige deskriptive Daten lassen sich gut im Fließtext beschreiben.
Tabellen: Übersichtlichere Darstellung bei mehr Daten, Angabe von Lage- und Streuungsmaßen.
Formatierung: In Manuskripten werden Tabellen nach APA-Richtlinien formatiert.

21
Q

Modus - Anwendung

A

Anwendung: Häufig genutzt bei Nominaldaten, z.B. häufigster Studiengang unter Studierenden.
Begrenzung: Liefert keine Information über Verteilung oder Streuung der Daten.
Vorteil: Einfach zu berechnen und zu interpretieren.

22
Q

Median - Robuste Eigenschaft

A

Eigenschaft: Robust gegenüber extremen Werten und Ausreißern.
Beispiel: Median des Einkommens in einer Gruppe, wo es extreme Einkommen gibt.
Bedeutung: Liefert einen guten zentralen Wert, auch bei schiefen Verteilungen.

23
Q

Mittelwert - Sensitivität gegenüber Ausreißern

A

Nachteil: Sensitiv gegenüber extremen Werten, die den Mittelwert verzerren können.
Beispiel: Ein extrem hohes Einkommen kann den Durchschnittseinkommen stark beeinflussen.
Alternative: Nutzung des Medians, wenn Ausreißer vorhanden sind.

24
Q

Varianz - Bedeutung

A

Bedeutung: Zeigt, wie stark die Werte um den Mittelwert streuen.
Anwendung: Grundlage für viele weitere statistische Berechnungen, z.B. Standardabweichung, Kovarianz.
Begrenzung: Aufgrund der Quadrierung schwer zu interpretieren, daher wird oft die Standardabweichung verwendet.

25
Standardabweichung - Bedeutung
Bedeutung: Zeigt die durchschnittliche Abweichung der Werte vom Mittelwert in der gleichen Einheit wie die Daten selbst. Interpretation: Geringe Standardabweichung deutet auf enge Streuung um den Mittelwert hin, hohe Standardabweichung auf eine breite Streuung. Anwendung: Häufig verwendet in Berichten und Forschungsergebnissen zur Beschreibung der Variabilität.
26
Interpretation von Lage- und Streuungsmaßen
Zusammenhang: Lage- und Streuungsmaße ergänzen sich und geben gemeinsam ein vollständiges Bild der Datenverteilung. Beispiel: Ein hoher Mittelwert mit einer hohen Standardabweichung zeigt, dass es große Unterschiede zwischen den Werten gibt. Wichtig: Für eine aussagekräftige Datenanalyse sollten immer beide Maße betrachtet werden.
27
Zusammenhang von Skalenniveau und Analyse
Skalenniveau: Bestimmt, welche Arten von Kennwerten und Analysen sinnvoll sind. Beispiele: Nominalskala: Modus, Häufigkeiten. Ordinalskala: Median, Interquartilsabstand. Intervallskala: Mittelwert, Standardabweichung. Bedeutung: Falsche Anwendung von Kennwerten kann zu fehlerhaften Interpretationen führen.
28
Wie findet man die Quartile?
- für das untere (25%) Quartil geht man von unten in die Datenreihe - für das obere (75%) Quartil geht man von oben in die Datenreihe Beispiele: - bei 11 Werten: Tiefe des Medians war 6  Tiefe der Quartile ist 3,5  das untere Quartil ist der Mittelwert aus 3. und 4. Wert von unten; das obere Quartil ist der Mittelwert aus 3. und 4. Wert von oben - bei 10 Werten: Tiefe des Medians war 5,5  Tiefe der Quartile ist 3  das untere Quartil ist der 3. Wert von unten; das obere Quartil ist der 3. Wert von oben
29