Devis quasi-expérimental Flashcards

(24 cards)

1
Q

Qu’est-ce qui caractérise les devis quasi-expérimentaux?

A

Ils n’ont pas de groupes équivalents créés par la répartition aléatoire des sujets ou n’ont pas de groupe témoin pour comparer les changements dus au traitement

How well did you know this?
1
Not at all
2
3
4
5
Perfectly
2
Q

Dans les devis quasi-expérimentaux, est-ce que l’étude de la relation causale entre les variables à la suite de la manipulation de la variable indépendante reste quand même valide?

A

Oui

How well did you know this?
1
Not at all
2
3
4
5
Perfectly
3
Q

Qu’est-ce qui caractérise les devis quasi-expérimentaux avec groupe non-équivalent?

A

Ils n’ont pas de groupes équivalents créés par la répartition aléatoire des participants

How well did you know this?
1
Not at all
2
3
4
5
Perfectly
4
Q

En quoi consiste le devis avant-après avec groupe témoin non équivalent (pré-test/post-test avec groupe témoin non-équivalent)?

A

Ce type d’étude possède un groupe témoin non-équivalent (répartition). Ceci affecte la validité mais le fait de prendre une mesure avant permet de vérifier l’équivalence des groupes.

How well did you know this?
1
Not at all
2
3
4
5
Perfectly
5
Q

Que permettent les devis avant-après avec groupe témoin non équivalent (pré-test/post-test avec groupe témoin non-équivalent)?

A

Permettent d’étudier la relation de causalité entre variables.

How well did you know this?
1
Not at all
2
3
4
5
Perfectly
6
Q

Donnez un exemple de devis avant-après avec groupe témoin non équivalent (pré-test/post-test avec groupe témoin non-équivalent)

A

On sélectionne tous les enfants d’une garderie défavorisée qui a le budget pour instaurer une intervention éducative visant à faire augmenter les compétences (qui n’est donc pas choisi au hasard), puis on choisit une autre garderie défavorisée qui ne recevra pas l’intervention. Avant l’intervention (pré-test), on administre une batterie de mesures évaluant les apprentissages (O1) des enfants des deux garderies. Par la suite, on instaure l’intervention éducative dans la garderie expérimentale (X). Après l’intervention (post-test), on mesure à nouveau les apprentissages des enfants des deux garderies (O2)

How well did you know this?
1
Not at all
2
3
4
5
Perfectly
7
Q

Que se passe-t-il lorsqu’on se rend compte que les groupes ne sont réellement pas équivalents a posteriori au pré-test?

A

Il y a alors des problèmes d’interprétation des résultats. Il peut y avoir des problèmes :

  • Maturation (interaction sélection-maturation, facteurs endogènes)
  • Interaction sélection-expérience (facteurs historiques, exogènes)
  • Effets plafond ou plancher
  • Régression à la moyenne
How well did you know this?
1
Not at all
2
3
4
5
Perfectly
8
Q

Vrai ou faux

Le devis avant-après (prétest/posttest) avec groupe témoin non-équivalent est nettement préférable aux protocoles pré-expérimentaux

A

Vrai

How well did you know this?
1
Not at all
2
3
4
5
Perfectly
9
Q

Quand devrait-on utiliser le devis avec plus d’une mesure initiale et un groupe témoin non-équivalent (prétest à plus d’une occasion/posttest avec groupe témoin non-équivalent)?

A

Lorsque :

  • Le traitement peut être retardé
  • On a l’argent
  • Si la répétition des mesures n’a pas d’effet particulier sur la variable dépendante
How well did you know this?
1
Not at all
2
3
4
5
Perfectly
10
Q

En quoi consiste le devis prétest à plus d’une occasion / posttest avec un groupe témoin non-équivalent?
(devis avec plus d’une mesure initiale et un groupe témoin non-équivalent)

A

Il est la même chose que le devis prétest/posttest avec un groupe témoin non-équivalent, mais on rajoute une mesure (O) avant l’intervention (variable expérimentale, X).

How well did you know this?
1
Not at all
2
3
4
5
Perfectly
11
Q

Que permet l’ajout d’une mesure pré-test à un devis pré-test/post-test avec groupe témoin non-équivalent?

A

Permet de contrôler les facteurs de

  • Maturation
  • Régression statistique
How well did you know this?
1
Not at all
2
3
4
5
Perfectly
12
Q

Devis avec groupe témoin non-équivalent avec mesure analogue au pré-test

Il est parfois ________ d’avoir la même mesure au pré-test et au post-test. On doit alors recourir à une mesure au pré-test qu’on croit être substantiellement corrélée (elle doit effectivement l’être pour avoir une bonne validité ________) à la mesure post-test qui constitue souvent l’acquisition de nouvelles connaissances ou de nouvelles réponses non encore inscrites au répertoire de l’individu.

A

impossible; interne

How well did you know this?
1
Not at all
2
3
4
5
Perfectly
13
Q

Devis avec groupe témoin non-équivalent avec mesure analogue au pré-test

Par exemple : A1 : ________________ en science de la nature chez des jeunes de 4e année du primaire qui ont des notions en science de la nature, mais qui n’ont pas encore de notions en science de l’environnement;
X : ____________ éducative durant l’année scolaire visant l’acquisition de notions en science de l’environnement;
B2 : mesure de rendement de notions en protection (science) de l’environnement à la fin de la 4e année

A

mesure de rendement; intervention

How well did you know this?
1
Not at all
2
3
4
5
Perfectly
14
Q

Vrai ou faux

Dans le devis avec groupe témoin non-équivalent avec mesure analogue au pré-test, la mesure analogue peut être une donnée d’archive

A

Vrai

How well did you know this?
1
Not at all
2
3
4
5
Perfectly
15
Q

Devis avec expérimentation répétée

Quand le chercheur ne peut avoir accès à un deuxième groupe de sujets pour servir de témoin, il peut introduire un ____________ (X), puis le retirer (x) et le réintroduire plus tard (X). Pour contourner les ____________ de ce type de devis, il est recommandé d’utiliser de grands échantillons et de laisser passer un certain temps avant de réintroduire le traitement.

Il est essentiel que les effets du traitement soient ____________.

A

traitement; faiblesses; réversibles

How well did you know this?
1
Not at all
2
3
4
5
Perfectly
16
Q

Devis avant-après avec retrait du traitement

Ce devis est constitué ____________ groupe avec mesures avant-après. Après une période de temps, une ____________ mesure est prise, suivie d’une période avant le retrait du traitement (x). La période de temps entre les mesures doit être équivalente et il est essentiel que les effets du traitement soient ____________.

A

d’un seul; troisième; réversibles

17
Q

Devis avant-après avec traitement inverse et groupe témoin non équivalent

Que permet de vérifier ce type de devis?

A

Ce type de devis permet de vérifier les différences relatives aux réactions à deux traitements ou interventions

18
Q

Devis avec groupe témoin non-équivalent avec échantillons séparés pour pré-test post-test

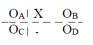
Quand le chercheur croit que le pré-test peut ____________ le post-test, il peut recourir à ce devis où il y a sélection d’échantillons différents pour le pré-test et le post-test.

Par exemple, on veut évaluer l’effet d’un cours de méthode de la recherche (X) sur les connaissances en méthodologie de la recherche. On fait alors passer en pré-test un examen de connaissance ou ________________ à deux groupes A et C (Oa et Oc). Par la suite, on dispense le cours à un troisième groupe (B), puis en post-test (Ob et Od), on fait passer le même examen de connaissance qu’en pré-test au troisième (B) et quatrième groupe (D) qui n’a pas suivi de cours.

A

influencer; examen scolaire;

19
Q

Devis quasi-expérimentaux de cohorte

Dans ces plans, certaines ____________ ont reçu le traitement que l’on souhaite ____________ alors que celles qui les suivent (ou qui les précèdent) ne l’ont pas reçu.

A

cohortes; évaluer

20
Q

Plan quasi-expérimental de cohortes avec comparaison simple

Deux cohortes d’individus; la plus récente soumise au traitement, l’autre pas. Évaluation après le traitement.

Étude sur l’effet d’une nouvelle émission télé-éducative très populaire cette année sur l’apprentissage du vocabulaire à la maternelle. L’émission est tellement populaire que tous les enfants la regerdent (O2). Il faut donc sélectionner une ____________ d’enfants de la maternelle de l’année passée (O1) afin de comparer avant et après l’émission.

Il est à noter que les ____________________ peuvent quand même jouer.

A

cohorte; facteurs historiques

21
Q

Plan quasi-expérimental de cohortes avec démantèlement du traitement

Extension du protocole précédent. Subdivision des cohortes en sous-groupes selon le degré d’exposition à la variable indépendante, ce qui permet de contrôler les facteurs historiques.

Exemple avec l’émission de télé et les tests de vocabulaire, sauf qu’on sépare les enfants qui ont vue l’émission en deux groupes soit X1: fréquence élevé de visionnement et X2: fréquence faible de visionnement.

A

Il devrait y avoir une différence entre les deux sous-groupes au niveau des tests de vocabulaire O2, ce qui indiquerait que l’émission a effectivement un effet.

Affaiblie les facteurs historiques, possibilité que les enfants des deux années aient vécu des choses différentes qui expliquent la différence entre les deux cohortes O1 et O2.

22
Q

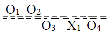
Plan quasi-expérimental de cohortes avec pré-test et post-test ou protocole à cycles institutionnels

Deux cohortes d’individus : la plus récente soumise au traitement, l’autre pas. Évaluation en deux occasions, ce qui permet de contrôler les facteurs historiques. Tente de cerner les effets d’un changement dans le cycle d’une institution.

Même exemple avec émission de télé éducative, sauf que chacune des cohortes est mesurée deux fois (tests vocabulaire), soit en début d’année scolaire (O1 et O3) et en fin d’année scolaire (O2 et O4).

Il est à noter qu’il ne faut pas que le temps soit trop long entre les pré-tests et les post-tests pour diminuer les facteurs historiques.

A

Il y a un test de vocabulaire en début d’année et un en fin d’année pour chaque cohorte. Ça fait qu’on ne peut pas subdiviser en sous-groupe. Donc cette stratégie permet de controler pour les facteurs historiques (expériences différentes entre cohortes).

Il faut que les pré-tests O1 et O3 soit similaires pour que la validité interne soit bonne. Et techniquement il devrait y avoir une différence entre O2 et O4 si l’émission a un effet.

23
Q

Plan quasi-expérimental à cohortes multiples selon un cycle institutionnel récurrent

Au moins trois cohortes soumises au traitement. Résultats du post-test d’une cohorte comparés avec ceux du pré-test de la cohort suivante. S’intéresse à une pratique régulière, implantée depuis un certain temps dans une institution.

Même exemple des effets d’une émision de télé éducative sur l’apprentissage du vocabulaire, sauf que les trois cohortes l’ont vu (O1 première cohorte de maternelle la première année de l’étude; O2 et O3 deuxième cohorte de maternelle la deuxième année de l’étude; O4 troisième cohorte de maternelle la troisième année de l’étude).

Conrôle les facteurs historiques et les biais de sélection avec la cohorte où il y a pré-test/post-test

A

Toutes les cohortes ont vu l’émission ici. On ne peut donc pas prendre une année comme cohorte de comparaison seul. Il doit y avoir une année avec deux tests de vocabulaire.

O1 > O2 parce qu’ils ont eu l’émission et O2 pas encore.
O3 > O2 parce que le test est après l’exposition à l’émission durant l’année
O3 > O4 parce que O3 ont eu l’émission et O4 pas encore.

Ça renforcit l’étude. Permet encore une fois de controler facteurs historiques (expériences différentes entre cohortes qui ont toutes vu l’émission)