Differentiation Flashcards

(26 cards)

1
Q

What is the equation for differentiation using first principles

A
How well did you know this?
1
Not at all
2
3
4
5
Perfectly
2
Q
A
How well did you know this?
1
Not at all
2
3
4
5
Perfectly
3
Q
A

h

How well did you know this?
1
Not at all
2
3
4
5
Perfectly
4
Q
A

1

How well did you know this?
1
Not at all
2
3
4
5
Perfectly
5
Q

how to differentiate sinx using first principles?

A
How well did you know this?
1
Not at all
2
3
4
5
Perfectly
6
Q
A
How well did you know this?
1
Not at all
2
3
4
5
Perfectly
7
Q

what is the product rule?

A
How well did you know this?
1
Not at all
2
3
4
5
Perfectly
8
Q

what is the quotient rule?

A
How well did you know this?
1
Not at all
2
3
4
5
Perfectly
9
Q

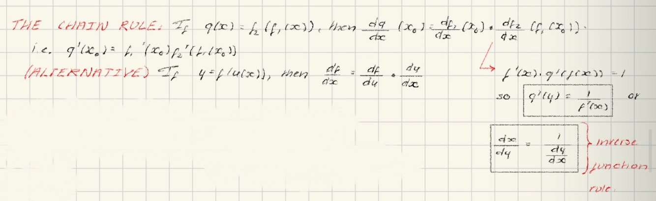
what is the chain rule?

A
How well did you know this?
1
Not at all
2
3
4
5
Perfectly
10
Q

what are the hyperbolic functions?

A
How well did you know this?
1
Not at all
2
3
4
5
Perfectly
11
Q

what is the inverse function rule?

A
How well did you know this?
1
Not at all
2
3
4
5
Perfectly
12
Q

what is the parametric differentiation?

A
How well did you know this?
1
Not at all
2
3
4
5
Perfectly
13
Q

what is implicit differentiation?

A
How well did you know this?
1
Not at all
2
3
4
5
Perfectly
14
Q

what is logarithmic differentiation?

A
How well did you know this?
1
Not at all
2
3
4
5
Perfectly
15
Q

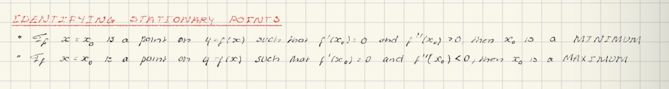
what are the different stationary points?

A
How well did you know this?
1
Not at all
2
3
4
5
Perfectly
16
Q

what are the basic transformations?

17
Q

what are the steps when sketching a graph?

18
Q

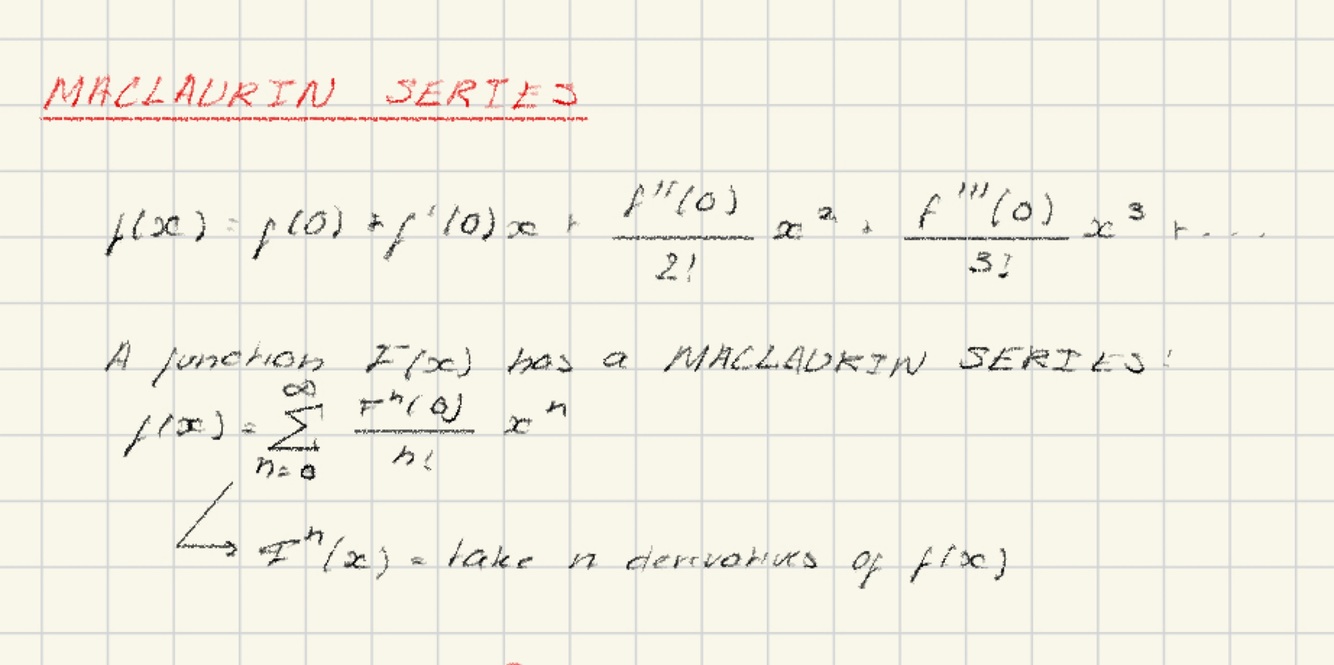
what is the maclaurin series?

19
Q

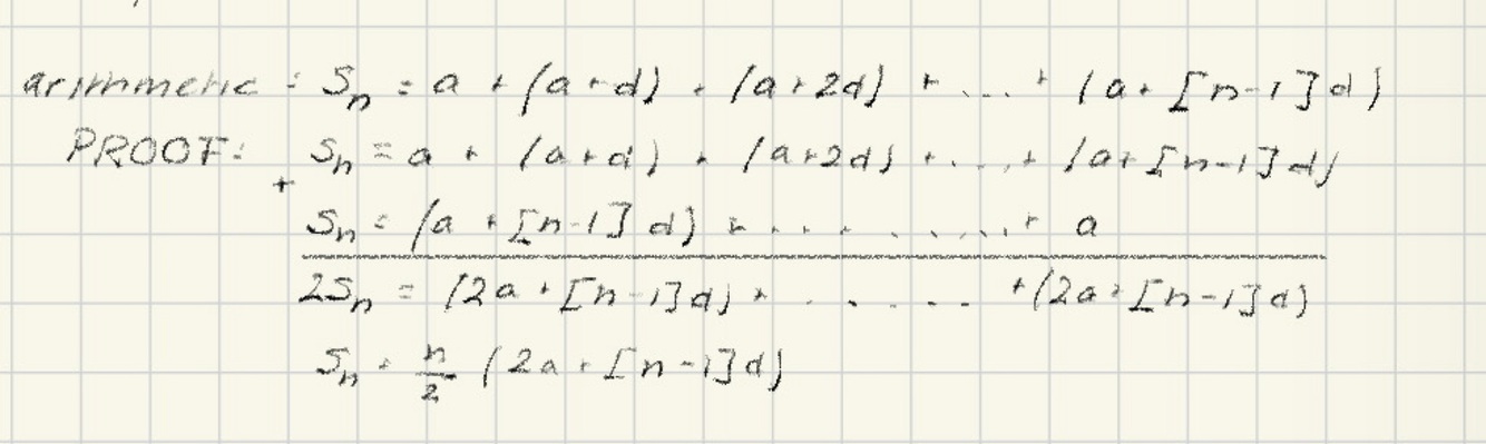
what is the proof for arithmetic series?

20
Q

what is the proof for the geometric series?

21
Q

what is the equations for arthumetic series?

22
Q

what is the equations for arthumetic series?

23
Q

what is the equation for sum of a series?

24
Q

what is the taylor series?

25
what functions are with mclaurin series?
26
what is l’hopitals rule?