Differentiation 2 Flashcards

(4 cards)

1
Q

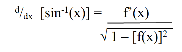
How do you calculate the differential of the inverse?

A
How well did you know this?
1
Not at all
2
3
4
5
Perfectly
2
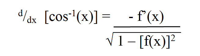
Q
A
How well did you know this?
1
Not at all
2
3
4
5
Perfectly
3
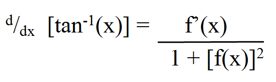
Q
A
How well did you know this?
1
Not at all
2
3
4
5
Perfectly
4
Q
A
How well did you know this?
1
Not at all
2
3
4
5
Perfectly