In one word,
what is
differential calculus
about?
The
instant.
More specifically, the
rate of change at an instant.
What type of
line
will tell you the
average speed over time?
Secant line.
A
slope tells you the
ARC of a
vertical variable
with respect to a
horizontal variable.
ARC is
Δy
Δx
which is also the
slope of the secant line.
ex:
Δy
Δx
= y2 − y1
x2 − x1
= 4 − 0
1 − 0
= 4

What type of
line
will tell you
instantaneous speed?
Tangent line.
A
slope tells you the
ARC of a
vertical variable
with respect to a
horizontal variable.
The slope of the secant line will approach that of the tangent line as the distances for the secant line approach zero.

g(x) = √(x)
How can you

A, C, and D.

What is a

A: −2
B: 1/4
C: 2
D: 0
E: −1/4
−2

Compare
f(−4) ___ f’(−1).
A: <
B: >

B: >
The slope of the tangent line would be less negative at f(−4).

The
What is
f’(2)?
3/5.
The derivative tells you the slope of the tangent.
Δy
Δx
= y2 − y1
x2 − x1
= 6 − 3
7 − 2
= 3/5
What is the
f’(x) = _____?
limΔx→0 f(x0 + Δx) − f(x0)
Δx
This is basically the slope formula with a limit tacked on:
Δy
Δx
= y2 − y1
x2 − x1
= limΔx→0 f(x0 + Δx__) − f(x0)
(x0 + Δx) − x0
= limΔx→0 f(x0 + Δx) − f(x0)
Δx

What is the
f’(x) = _____?
limx→a f(x) − f(a)
x − a
This is basically the slope formula with a limit tacked on:
Δy
Δx
= y2 − y1
x2 − x1
= limx→a f(x) − f(a)
x − a

How do you write the
equation of a
tangent line using the
formal definition of a
limit of the function below?
f(x) = x2 at x = 0.2


Given:
what is the
best estimate of f’(−1/2) we can make
given these values?
−2
Δy
Δx
= y2 − y1
x2 − x1
= 2 − 0
−1 − 0
= −2
Given:
what is the
best estimate of f’(8) we can make
given these values?
4/7
Δy
Δx
= y2 − y1
x2 − x1
= 5 − 1
8 − 1
= 4
7
Graphically,
what are
all x-values for which this
function is
not differentiable?
Dashed lines represent asymptotes.

−5, −4, 0

Graphically,
what are
all x-values for which this
function is
not differentiable?
There’s a
vertical tangent at x = 1.

1, 5

Visually, what
features of a
graph will indicate that
the function is
not differentiable at an x-value?
How do you know whether function
g(x) is continuous at x = a if
g(x) = { x2 + 2x , x < 1
{ 4x − 1 , x > 1
g(1) = (1)2 + 2(1)
= 3 = limx→1− g(x)
limx→1+ g(x) = 4(1) − 1
= 3
g(1) = limx→1− g(x) = limx→1+ g(x)
So g(x) is continuous at x = 1.
How do you know whether function
g(x) is differentiable at x = a
if it is
continuous at x = a and
limx→a f(x) − f(a)
x − a
exists.
(Which is to say that you can find the slope of a tangent line that intersects g(x) at x = a)
(Once you know it’s continuous, you’re looking for a
vertical tangent or a
“sharp” turn)
ex:
g(x) = { x2 + 2x , x < 1
{ 4x − 1 , x > 1
g(1) = (1)2 + 2(1)
= 3 = limx→1− g(x)
limx→1+ g(x) = 4(1) − 1
= 3
g(1) = limx→1− g(x) = limx→1+ g(x)
So g(x) is continuous at x = 1.
limx→a f(x) − f(a)
x − a
limx→1− x2 + 2x − (3)
x − 1
= limx→1− (x − 1)(x + 3)
x − 1
= limx→1− x + 3
= 4
limx→1+ 4x − 1 − (3)
x − 1
= limx→1+ 4x − 4
x − 1
= limx→1+ 4(x − 1__)
x − 1
= 4
Because the one-sided limits are approaching the same value, the limit exists, and g(x) is differentiable at x = 1.
Differentiability
implies _____.
Continuity
Proof:
Assume f is differentiable at x = c
limx→c (f(x) − f(c))
= limx→c (x − c) • f(x) − f(c)
x − c
= limx→c (x − c ) • limx→c f(x) − f(c)
x − c
= 0 • limx→c f(x) − f(c)
x − c
= 0 • f’(c)
limx→c (f(x) − f(c)) = 0
limx→c f(x) − limx→c f(c) = 0
limx→c f(x) − f(c) = 0
limx→c f(x) = f(c)
(this is the definition of continuity)
Constant Rule:

0.
The derivative of
any constant is 0.
Algebraically:
f(x) = 1
f(x + Δx) = 1
g’(x) = limΔx→0 f(x + Δx) − f(x)
Δx
f’(x) = limΔx→0 1 − 1
Δx
= limΔx→0 0
Δx
= 0
Graphically:
The derivative measures a function’s
instantaneous rate of change at a particular x-value.
Where f(x) is a constant, there is
no change from one x-value to the next, so the derivative is 0.

Sum/Difference Rules:
f(x) = g(x) + j(x)
f’(x) = ______
g’(x) + j’(x)
f(x) = g(x) + j(x) ⇒ f’(x) = g’(x) + j’(x)
Algebraically:
f(x) = g(x) + j(x)
f’(x) = limΔx→0 g(x + Δx) + j(x + Δx) − (g(x) + j(x))
Δx
= limΔx→0 g(x + Δx) − g(x) + j(x + Δx) − j(x)
Δx
= limΔx→0 g(x + Δx) − g(x) + j(x + Δx) − j(x)
Δx Δx
= limΔx→0 g(x + Δx) − g(x) + limΔx→0 j(x + Δx) − j(x)
Δx Δx
= g’(x) + j’(x)
The difference rule is identical.
Constant Multiple Rule:
k• d [f(x)]
dx
Also:
f(x) = k•g(x) ⇒ f’(x) = k•g’(x)
Algebraically:
h’(x) = limΔx→0 f(x + Δx) − f(x)
Δx
f(x) = k•g(x)
f’(x) = limΔx→0 k•g(x + Δx) − k•g(x)
Δx
= limΔx→0 k•g(x + Δx) − k•g(x)
Δx
= limΔx→0 k • g(x + Δx) − g(x)
Δx
= k•limΔx→0 g(x + Δx) − g(x)
Δx
= k•g’(x)
Constant Rule:
f(x) = 2x3 − √x + 1/x + 2
f’(x) = _____
6x2 − ½x−1/2 − x−2
*f(x) = x<sup>n</sup> f'(x) = nx<sup>n−1</sup>*
f(x) = 2x3 − √x + 1/x + 2
= 2x3 − x1/2 + x−1 + 2
f’(x) = d/dx(2x3) − d/dx(x1/2) + d/dx(x−1) + d/dx(2)
= (3)2x3−1 − (½)x1/2−1 + (−1)x−1−2 + 0
= 6x2 − ½x−1/2 − x−2
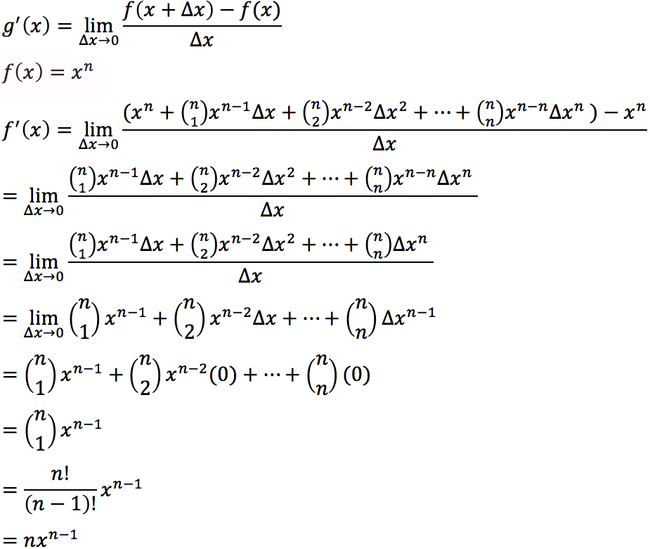
Power Rule:
f(x) = xn, n ≠ 0
f’(x) = _____
f’(x) = nxn−1

Proof:
(for positive integers)
f(x) = 2x3 − √x + 1/x + 2
f’(x) = _____
6x2 − ½x−1/2 − x−2
*f(x) = x<sup>n</sup> f'(x) = nx<sup>n−1</sup>*
f(x) = 2x3 − √x + 1/x + 2
= 2x3 − x1/2 + x−1 + 2
f’(x) = d/dx(2x3) − d/dx(x1/2) + d/dx(x−1) + d/dx(2)
= (3)2x3−1 − (½)x1/2−1 + (−1)x−1−2 + 0
= 6x2 − ½x−1/2 − x−2