
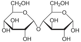
Maltose:
Alpha-D-glucopyranosyl (1-4) Alpha-D-glucopyranose
alpha-D-Glc. alpha-D-Glc.

Sucrose:
Alpha-D-glucopyranosyl-(1-2)-Beta-D-Fructofuranoside
alpha-D-Glc. beta-D-Fru.

Lactose:
Beta-D-galactopyranosyl-(1-4)-Beta-D-glucopyranose
Beta-D-Gal. Beta-D-Glc