What direction do the DNA strands run to one another?
The DNA strands run anti-parallel to one another

In the double helix, where are the base pairs located?
The base pairs are stacked on the inside
What 2 grooves are there on DNA?
There is a major and a minor groove in DNA
What charge is the phosphodiester backbone in DNA?
The backbone has a negative charge
Is the DNA a right or left handed double helix?
DNA runs in a right handed double helix
What are the building blocks of DNA called?
Deoxynucleotide triphosphates
What does DNA synthesis require and what are the different types of this?
It requires deoxynucleotide triphosphates
dNTP- dCTP, dGTP, dATP, dTTP
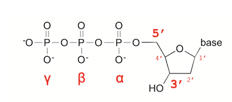
On the following diagram label the phosphate groups either alpha, beta or gamma


On DNA there is a 5’, 4’, 3’, 2’ and 1’ carbon, why are these referred to as prime carbons?
A prime carbon is a carbon that is located on a sugar
What is the driving force of DNA synthesis?
The hydrolysis of pyrophosphate
What functional group is located at both the 5’ and 3’ end of ssDNA?
An alcohol group
When new nucleotides attach to DNA, what end do they join onto?
They attach onto the 3’ end of DNA
In the Watson-Crick (W-C) model of DNA, what are the base pairs and the number of H bonds between each one?
The base pairs are;
AT- 2 H bonds
CG- 3 H bonds
Whats some of the issues with DNA replication?
Everytime a cell divides its entire DNA content must be exactly replicated so that a comple copy is given to each daughter cell
Whats the genome size for E. coli and humans?
E. Coli (4.6x106 bp)
Humans (6x109 bp)
What type of replication is DNA replication?
Semi-conservative replication (as demonstrated by Meselson and Stahl)
What happened in the experiment that Meselson and Stahl undertook in order to support their theory for semi-conservative replication?

Is there an origin of replication of DNA on the E. coli chromosome?
Yes
In E. Coli does DNA replicate bidirectionally or unidirectional ?
What does this mean?
From the origin of replication in E.Coli, the DNA replicates bidirectionally
This means it starts from its origin and replicates round the circle

The following image shows bidirectional replication, what experiment was done to prove this was the case and why does this show bidirectional as opposed to unidirectional?

Firstly the genome was exposed to a pulse of low radioactivity before then being chased with high radioactivity
Bidirectional replication showed to start of strong, go weak in the middle then strong at the ends (like seen in the image with the thin and thicker bands)
Unidirectional replication tends to starts week before being strong at the end

What 4 main issues make DNA replication a much more complex idea then whats originally thought and why are these make it difficult?
when DNA is opened up it is exposing in different directions and as DNA syntheses only works in 5’ to 3’ then the 3’ to 5’ is a problem
What was the first enzyme that was isolated and by who?
The first enzyme to be isolated what DNA Polymerase I by Kornberg in 1958
Tell me about the structure of DNA polymerase I (number of chains, mw, molecules per cell)
Its a single polypeptide chain (mw 109,000) about 400 molecules per cell
What does DNA polymerase I require?
It requires all 4 dNTPs, template strands and primers