Dugga 2 Flashcards

(17 cards)

1
Q

R 1*. Definiera Reynolds tal vid rörströmning. Vad menas med kritiskt Reynoldstal?

A

𝑅𝑒 =𝑉𝑑/𝜐 𝑅𝑒𝑘𝑟𝑖𝑡 är det Reynoldstal för vilket strömningen övergår från laminär till turbulent. 2000 < 𝑅𝑒𝑘𝑟𝑖𝑡 < 40000. Dock normalt 2300 vid rörströmning.

How well did you know this?
1
Not at all
2
3
4
5
Perfectly
2
Q

R 2*. Vad menas med inloppssträcka vid rörströmning? Beskriv vad som händer med hastighetsfältet i inloppssträckan. Vad menas med fullt utbildad strömning?

A

Den sträckan fram till dess att strömningen är fullt utbildad. Under inloppet (inloppssträckan) beror hastigheten av både r och x. 𝑢 = 𝑢(𝑟, 𝑥) När strömningen är fullt utbredd beror den istället bara av x. 𝑢 = 𝑢(𝑟), (𝜕𝑢/𝜕𝑥 = 0 )

How well did you know this?
1
Not at all
2
3
4
5
Perfectly
3
Q

R 7. Vad brukar man som tumregel ange för värde på kvoten mellan medelhastighet och maxhastighet för fullt utbildad turbulent rörströmning?

A

𝑉 = 0,82 ∙ 𝑢𝑚𝑎𝑥 𝑑ä𝑟 𝑉 𝑠𝑡å𝑟 𝑓ö𝑟 𝑚𝑒𝑑𝑒𝑙ℎ𝑎𝑠𝑡𝑖𝑔ℎ𝑒𝑡𝑒𝑛.

How well did you know this?
1
Not at all
2
3
4
5
Perfectly
4
Q

T 1. Ange tre egenskaper som karakteriserar turbulent strömning.

A
  1. Strömningen är instationär. 2. Rörelsen uppvisar oregelbundenhet och slumpartad variation i tid och rum. 3. Strömningen har höga Reynoldstal.
How well did you know this?
1
Not at all
2
3
4
5
Perfectly
5
Q

T 2. Vad menar med att turbulent ströming ör dissipativ och vad bestämmer de största och minsta längdskalorna i turbulensen?

A

Allmänt: Dissipation – att vågor eller svängningar förlorar energi över tiden. Turbulent strömning är alltid dissipativ då turbulent kinetisk energi, genom friktionens inverkan, omvandlas till inre energi hos fluiden. De största längdskalorna bestäms av geometrin och de minsta bestäms av viskositeten.

How well did you know this?
1
Not at all
2
3
4
5
Perfectly
6
Q

T 3. Förklara begreppet Reynolds dekomposition samt varför man gärna vill tidsmedelvärdera ekvationerna vid turbulent strömning. Förklara också ”The closure problem” som då uppstår.

A

Reynolds dekomposition innebär att man delar upp hastigheten i tidsmedelvärden och flukturerande komponeter. Tidsmedelvärderingen vill man göra på grund av svårigheten att matematiskt räkna med de flukturerande komponenterna som ändrar termerna i ekvationerna med avseende på tid och rum. 𝑢 = 𝑢̅ + 𝑢′ 𝑢 = hastighet 𝑢̅ = tidsmedelvärde 𝑢′ = flukturerande komponent ”The closure problem” som uppstår är problemet med att sluta ekvationssystemet d.v.s de finns fler obekanta än ekvationer.

How well did you know this?
1
Not at all
2
3
4
5
Perfectly
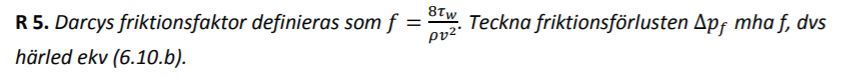
7
Q
A
How well did you know this?
1
Not at all
2
3
4
5
Perfectly
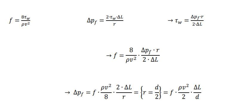
8
Q

R 6. Hastighetsprofilen vid fullt utbildad laminär rörströmning kan skrivas som 𝑢 = 𝑢𝑚𝑎𝑥(1 − 𝑟 ^2/𝑅^2 ). Visa att medelhastigheten vid fullt utbildad rörströmning är lika med halva maxhastigheten.

A
How well did you know this?
1
Not at all
2
3
4
5
Perfectly
9
Q

R 8*. Skissa en laminär och en turbulent hastighetsprofil vid fullt utbildad rörströmning. Vilken av profilerna ger högst väggskjuvspänning vid ett givet massflöde? Motivera

A
How well did you know this?
1
Not at all
2
3
4
5
Perfectly
10
Q
A
How well did you know this?
1
Not at all
2
3
4
5
Perfectly
11
Q

R 10. Skissa det principiella utseendet av ett Moody-diagram.

A
How well did you know this?
1
Not at all
2
3
4
5
Perfectly
12
Q

R 11. Definiera hydraulisk diameter och förklara hur den används vid laminär respektive turbulent rörströmning.

A
How well did you know this?
1
Not at all
2
3
4
5
Perfectly
13
Q

R 12. Definiera engångsförlustkoefficienten K

A

𝐾 = 𝑒𝑛𝑔å𝑛𝑔𝑠𝑓ö𝑟𝑙𝑢𝑠𝑡

Orsakat av:

1) Rörets ingång/utgång
2) Plötslig expansion/kontraktion
3) Böjar, krökar, anslutningar
4) Ventiler
5) Gradvis exp/kontraktion

How well did you know this?
1
Not at all
2
3
4
5
Perfectly
14
Q
A
How well did you know this?
1
Not at all
2
3
4
5
Perfectly
15
Q
A
How well did you know this?
1
Not at all
2
3
4
5
Perfectly