E&M Equations Flashcards

(19 cards)

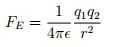
1
Q

Electric Force Due to Point

A
How well did you know this?
1
Not at all
2
3
4
5
Perfectly
2
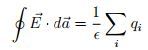
Q

Flux

A
How well did you know this?
1
Not at all
2
3
4
5
Perfectly
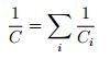
3
Q

Capacitors in Parallel

A
How well did you know this?
1
Not at all
2
3
4
5
Perfectly
4
Q

Capacitors in Series

A
How well did you know this?
1
Not at all
2
3
4
5
Perfectly
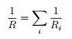
5
Q

Resistors in Parallel

A
How well did you know this?
1
Not at all
2
3
4
5
Perfectly
6
Q

Resistors In Series

A
How well did you know this?
1
Not at all
2
3
4
5
Perfectly
7
Q

Parallel Plate Capacitor

A
How well did you know this?
1
Not at all
2
3
4
5
Perfectly
8
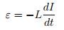
Q

Self-Induction

A
How well did you know this?
1
Not at all
2
3
4
5
Perfectly
9
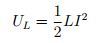
Q

Energy Stored in Inductor

A
How well did you know this?
1
Not at all
2
3
4
5
Perfectly
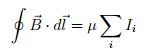
10
Q

Amperes Law

A
How well did you know this?
1
Not at all
2
3
4
5
Perfectly
11
Q

Magnetic Field in a Solenoid

A

Bs = µnI

How well did you know this?
1
Not at all
2
3
4
5
Perfectly
12
Q

Potential Inside Conducting Sphere

A

Same as at the surface

How well did you know this?
1
Not at all
2
3
4
5
Perfectly
13
Q

Work on point moving on equipotential line

A

No work is done in moving a charged object along a line or surface of equipotential.

How well did you know this?
1
Not at all
2
3
4
5
Perfectly
14
Q

Capacitance from Graph

A

The slope of a charge-voltage graph for a capacitor is its capacitance.

How well did you know this?
1
Not at all
2
3
4
5
Perfectly
15
Q

Work to charge a capacitor

A

Area under Charge-voltage graph

How well did you know this?
1
Not at all
2
3
4
5
Perfectly
16
Q

Energy Stored in a capacitor

A

Work done to charge capacitor = area under charge-voltage graph

17
Q

Resistance of object

18
Q

Work done by magnetic field

A

Magnetic fields don’t do work on charged particles moving through the field because the force is always perpendicular to the velocity.