a. Describe the model briefly.


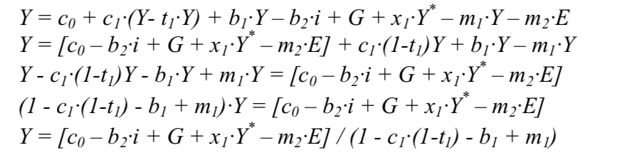
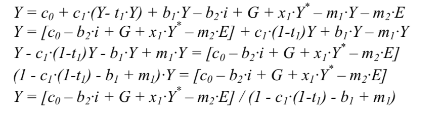
b. Solve the model for equilibrium Y.


c. Explain the concept of the multiplier, and discuss the role of each parameter in the multiplier of the above model.


Assume that b_0 falls.
What might cause such a fall in the value of b0?

E.g. lower business confidence.

e. Explain how the central bank can help stabilizing output after a fall in the value of b_0.

The decline in b_0 shifts IS left. CB can shift LM down and lower i sufficiently to restore Y – unless i assumes the zero lower bound.

f. Discuss briefly what the Danish central bank can do to avoid a fall in output after a fall in investment demand in the Danish economy.

Little. As revealed by the uncovered interest parity, the Danish policy rate must follow the Euro policy rate due to the Danish policy of a fixed exchange rate against the euro.
a. Explain the concept of the real exchange rate and discuss whether it is a useful indicator of a country’s international competitiveness.
The development of the multilateral real exchange rate, E·P/P*, is a narrow indicator of the development of international price- competitiveness, but does not take other aspects of competitiveness into account.
b. Explain briefly the Marshall-Lerner condition (hint: no need to derive the condition) and explain the so-called J-curve associated with a real depreciation or devaluation of the domestic currency.
The ML states the conditions under which a real depreciation improves the trade balance. The J-curve reflects that initially a real depreciation deteriorates the trade balance due to lagged quantity responses, followed by an improvement as quantities begin to respond.
“Consider an economy with a trade deficit and an output gap of zero. The government wishes to eliminate the trade deficit without changing the output gap.”
c. Explain the concept of the output gap and discuss how the government can use fiscal and/or exchange rate policy to eliminate the trade deficit without changing output.
Output gap is the difference between actual and potential output. The government should apply a mix of depreciation and fiscal contraction, cf. Blanchard, p. 401-402.
d. Discuss whether fiscal policy was actively used by the Danish government to reduce the negative output gap in the Danish economy after the financial crisis.
It was. Denmark had room for fiscal manoeuvre as it used the boom years prior to the financial crisis to obtain significant public budget surpluses, lowering the public debt to a (by international comparison) low level, cf. Andersen et al. p. 55-57.
Description: Consider a closed economy where output is equal to natural output and inflation is equal to expected inflation. Assume that expected inflation is determined by last year’s inflation. Suppose the level of public debt is very high and the government therefore decides to raise taxes to bring public debt down.
Question
Assume first that the central bank does not change the real policy rate.
a. Using a relevant diagram, explain what happens to output and inflation in the short and medium term, respectively, when the government raises taxes.
See Blanchard, Figure 9-4 (the movement from A to A’): Output and inflation declines.

Description: Consider a closed economy where output is equal to natural output and inflation is equal to expected inflation. Assume that expected inflation is determined by last year’s inflation. Suppose the level of public debt is very high and the government therefore decides to raise taxes to bring public debt down.
Question
Assume, alternatively, that the central bank steps in after some time and lowers the real policy rate in an attempt to restore output at the natural level.
b. Explain what happens to output and inflation during the gradual adjustment to the new medium term equilibrium.
See Blanchard, Figure 9-4 (CB attempts to obtain a movement from A’ to A’’): Output gradually rises to potential output and inflation declines further, but slower while there is still a negative output gap.

Description: Consider a closed economy where output is equal to natural output and inflation is equal to expected inflation. Assume that expected inflation is determined by last year’s inflation. Suppose the level of public debt is very high and the government therefore decides to raise taxes to bring public debt down.
Question
Assume, alternatively, that the central bank steps in after some time and lowers the real policy rate in an attempt to restore output at the natural level.
c. Discuss why the central bank might be unable to change its real policy rate sufficiently to accomplish its output target.
See Blanchard, Figure 9-4: Perhaps the nominal interest rate hits the zero lower bound before output returns to the natural level. Still declining inflation might turn into deflation raising the real policy rate. Then output would in fact decline.

a. Løs modellen for output i ligevægt.

Indsæt alle adfærdsrelationer i ligevægtsbetingelsen.

Antag, at c0 falder.
b. Hvad kan forårsage, at c0 falder?

Fx. at husholdningerne ser mere pessimistisk på fremtiden.

Antag, at c0 falder.
c. Udled virkningen på output af faldet i c0. Forklar i den forbindelse begrebet multiplikator og den betydning, som hver enkelt parameter har for multiplikatoren.


Antag at c0 falder og dette selvfølgelig påvirker Y negativt.
d. Hvordan påvirkes nettoeksporten og saldoen på de offentlige finanser?


Antag at c0 falder og dette selvfølgelig påvirker Y negativt.
e. Forklar med reference til ovenstående model sondringen mellem diskretionær (aktiv) finanspolitik og automatiske finanspolitiske stabilisatorer. Er et underskud på de offentlige finanser udtryk for, at finanspolitikken er ekspansiv?

Diskretionær finanspolitik er eksogene ændringer i G og/eller t1. Automatisk stabilisering er endogene ændringer i T, som reducerer udsvingene i Y (t1 mindsker multiplikatoren), jf. spm. c. Et underskud på de offentlige finanser kan skyldes endogent lav T (fremkaldt af recession, jf. spm. d) og kan derfor ikke nødvendigvis tages som udtryk for ekspansiv diskretionær finanspolitik.
f. Forklar kort hovedprincippet i beregningen af den strukturelle saldo (structural balance eller cyclically adjusted balance) på de offentlige finanser.

Den strukturelle saldo er den faktiske saldo renset for virkningen af konjunkturcyklen samt engangsfaktorer (altså en ”residual” beregning).
g. Diskutér, hvorvidt en ændring i den strukturelle saldo er velegnet til at belyse finanspolitikkens virkninger på den økonomiske aktivitet.

En stigning (fald) i den strukturelle saldo angiver en kontraktiv (ekspansiv) diskretionær finanspolitik. Den tager dog (modsat finanseffekten) ikke højde for, at multiplikatorernes numeriske værdier kan være forskellige for de enkelte budgetposter. Hertil kommer, at størrelsen beregnes residualt, dvs. at alle målefejl ophobes heri.
h. Forklar, hvilke begrænsninger den danske valutakurspolitik lægger på pengepolitikken henholdsvis finanspolitikken i Danmark.

Danmark kan ikke føre selvstændig pengepolitik, fordi den danske rente nødvendigvis fastsættes ud fra eurorenten. Finanspolitikken skal være stabilitetsorienteret for at understøtte fastkurspolitikkens troværdighed.
Beskrivelse:
Betragt en lukket økonomi og antag, at output i udgangspunktet er på det naturlige niveau, og at den faktiske inflation er lig med den forventede inflation. Herefter stiger erhvervslivets tillid, og investeringerne vokser betragteligt.
Spørgsmål
Antag, at centralbanken i første omgang ikke ændrer realrenten.
a. Forklar ved hjælp af et relevant diagram, hvad der sker med output og inflationen på kort henholdsvis mellemlang sigt. Hvad sker der med den nominelle rente?
IS kurven forskydes til højre i IS-LM-PC diagrammet. På både kort og mellemlang sigt overstiger output nu potentielt output. Inflationen overstiger nu den forventede inflation. I det omfang,
inflationsforventningerne efterhånden vokser, må centralbanken hæve den nominelle rente for at fastholde uændret realrente og LM kurve.

Beskrivelse:
Betragt en lukket økonomi og antag, at output i udgangspunktet er på det naturlige niveau, og at den faktiske inflation er lig med den forventede inflation. Herefter stiger erhvervslivets tillid, og investeringerne vokser betragteligt.
Spørgsmål
Antag, at centralbanken i første omgang ikke ændrer realrenten.
b. Hvilken forskel gør det, om den forventede inflation er lig med sidste periodes inflation, eller om inflationsforventningerne er forankrede?
Forventet inflation er lig med sidste periodes inflation: Inflationen og inflationsforventningerne vil være stadigt voksende. Centralbanken må løbende hæve den nominelle rente for at fastholde uændret realrente. Forankrede inflationsforventninger: Inflationen vil blot være højere end den fastholdte inflationsforventning. Centralbanken fastholder uændret nominel rente for at holde uændret realrente.
Beskrivelse:
Betragt en lukket økonomi og antag, at output i udgangspunktet er på det naturlige niveau, og at den faktiske inflation er lig med den forventede inflation. Herefter stiger erhvervslivets tillid, og investeringerne vokser betragteligt.
Spørgsmål
Antag alternativt, at centralbanken efter nogen tid griber ind for at bringe inflationen tilbage på niveauet i udgangspunktet.
c. Hvad skal centralbanken gøre for at opnå sit mål?
Centralbanken skal hæve realrenten (ved at hævde den nominelle rente) tilstrækkeligt til, at output i sidste ende returnerer til potentiel output (LM kurven skal forskydes tilstrækkeligt opad).