Define an Electric Field.
Is a region in which a charged particle experiences a force
What is Electric Charge measured in?
Coulombs
Oppositely charged particles [………] each other.
attract
Like charges [……….] each other
repel
What can you assume if the charged object is a uniformly charged sphere?
All the charge is at the centre, it behaves like a point charge.
How can Electric and Gravitational Fields be represented?
By drawing field lines
What does Coulombs Law give us?
Gives us the force of attraction or repulsion between two point charges in a vacuum.
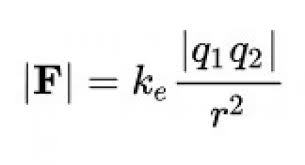
What is Coulombs Law?
Can also merge the q1 q2 and r*2 to the other side to give one equation

How do you calculate Coulombs Constant?

Show the equation for Coulombs Law but with Coulombs Constant instead.

What do the symbols stand for in this equation?
F = Force of attraction or repulsion between two point charges in a vacuum
ε0= the permittivity of free space (= 8.85 x 10*-12 Fm*-1)
Q1 & Q2 = Are the charges
r = the distance between Q1 and Q2

What is Epsilon naught?
ε0= the permittivity of free space
What is the value for Epsilon Naught?
8.85 x 10*-12 Fm*-1
What is Epsilon Naught measured in?
Farads per metre (Fm*-1)
What will F be if the charges are opposite? Including Coulombs Law values.
The Force is attractive
What will F be if the charges are alike? Including Coulombs Law values.
Coulombs Law is an […………]
Inverse Square Law
Why is Coulombs Law an Inverse Square Law?
The further apart the charges, the weaker the force between them.
What happens if the point charges are between air? Coulombs Law.
Air can be treated as a vacuum so you can use the Epsilon Naught constant
In Coulombs Law, what do you do if the point charges are not in a vacuum?
Epsilon Naught is replaced by the permittivity value.
How do you use an electric balance to measure the force between two charges?
1 - Fix a charged sphere to a mass balance and zero the balance
2 - Clamp another charged sphere carrying the same charge directly above the first sphere
3 - The spheres will repel each other, causing the lower sphere to push down the scales, so the scales will register a mass
4 - Use W = mg to calculate the force
5 - If you vary the distance, r, you found that F is proportional to 1/r*2

What is the definition of Electric Field Strength?
Force per unit Charge
What is the Electric Field Strength Equation?
E = F/Q
E = Electric Field Strength (NC*-1 newtons per coulomb)
F = Force (N)
Q = Charge (C)
A Radial Field is…
Inversely Proportional to r*2