Conventional current is the movement of _____ charges.
positive
Identify the following symbols:

Identify the following symbols:

Identify the following circuits:

open circuit
closed circuit
short circuit
What is defined as the “flow of charges per unit time”?
current
What does the symbol with “A”? represent?

ammeter
Definition: potential difference which is the potential energy required to move a charge of one coulomb from point A to point B.
voltage
What does the symbol with “V” indicate?

volt meter
V = IR is known as what law?
Ohm’s Law
Pressure (P) of voltage units:
dynes/cm2
Flow of current units:
cm3/sec
Heat flow (q) unit
Watts
Solute concentration units?
Solute flow units?
mg/ml
mg/min
The corollary to Ohm’s law is known as _____ law.
Ohm’s Law: V = IR
Darcy’s Law: P = QR
What type of current varies around zero?
AC

What depiction most represents the cardiovascular system?

DC + AC shows varying around a mean pressure
This waveform depicts what?

arterial blood pressure waveform
How is the mean pressure or the arterial pressure obtained?
Calculated as the area under the curve.
frequency =
What are the units?
1/T
where T = period
Hertz
If HR = 120 beats per minute, calculate frequency.
2 Hz

Period (T) can also be measured on a graph as distance from ____________.
peak-to-peak

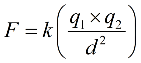
Coulomb’s Law =
Force = Coulomb’s constant (charge strength/distance2)
Note:

Current produces a magnetic field.
If a current is moving in your direction, a magnetic field can be detected. How do you determine the direction of this field?
right hand rule
fingers move in the direction of curled fingers
Current flows in direction of ___ charge flow.
positive
