Electromagnetism Flashcards

all about electrical fields ,magnets ,generators ad power (34 cards)

1
Q

Number one rule of charges

A

1.Like chargers repel each other
2.Opposite charges attract each other

How well did you know this?
1
Not at all
2
3
4
5
Perfectly
2
Q

what do objects with charge produce ?

A

an electric field

How well did you know this?
1
Not at all
2
3
4
5
Perfectly
3
Q

Electric field lines show what ?

A
  • they show the direction of force(using arrows)
  • Strenth of force (using density of lines)

  • always draw these lines away from the positive charge as shown in the diagram
  • For negative charges the lines points torwads the negative
  • if close to the positive charger or denser length of the field lines there will a stronger electrical field

How well did you know this?
1
Not at all
2
3
4
5
Perfectly
4
Q

The interaction of Negative and positive charges electric fields

A

Always away from the positive
torwards the negative

How well did you know this?
1
Not at all
2
3
4
5
Perfectly
4
Q

Force on charges in an Electric field

A
  • positive charges feel a force in the direction of the field lines
  • Negative charges feel a force opposite the direction of the field lines
How well did you know this?
1
Not at all
2
3
4
5
Perfectly
5
Q

The Definition Of ELECTRIC FIELD STRENGTH

A

the strength of the electric field is a measure of the force the field applies per unit of charge

How well did you know this?
1
Not at all
2
3
4
5
Perfectly
6
Q

COLoumb’s Law on how to get the force REquired for Calculation of the gravitational field.

A
How well did you know this?
1
Not at all
2
3
4
5
Perfectly
7
Q

For calculations of elecrtic field for two diffent charges remember

A

the force remains the same cause newtons third law says there is an equal and opposite reaction for every action

How well did you know this?
1
Not at all
2
3
4
5
Perfectly
8
Q

Producing a uniform electric Field

A

The electric field between two charged parallel plates is found by

How well did you know this?
1
Not at all
2
3
4
5
Perfectly
9
Q

Electric Field

A

1.Created by a charge
2.Pushes positive charges in the direction of the field
3.+ve charges gain electrical potential Energy when moved against the field (work done against the Field)
4.Ep Is converted into Kinetice Energy when +ve charge moves with the field (work done by the field)

How well did you know this?
1
Not at all
2
3
4
5
Perfectly
9
Q

Electrical Potential Difference(Voltage) formula

A
How well did you know this?
1
Not at all
2
3
4
5
Perfectly
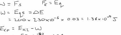
10
Q

Final Kinetic energy for Particle in electromagnetism

A

1.Calculate the work first using the formula above
2.FInal Kinetic energy =Initial Kinetic energy -Work done
3.Ignore the numbers

How well did you know this?
1
Not at all
2
3
4
5
Perfectly
11
Q

Potential difference in an electrical field

A

1.V=W/Q
2.W=Vq

How well did you know this?
1
Not at all
2
3
4
5
Perfectly
11
Q

In W=Vq what is an eV(electron Volt)?

A

The energy gained by an electron movin across a 1.00V potential Difference

1.6x10^-19 J=1eV

How well did you know this?
1
Not at all
2
3
4
5
Perfectly
12
Q

Commit this to memory

A
How well did you know this?
1
Not at all
2
3
4
5
Perfectly
12
Q

Remember the curves lines on the edge of the plates!

13
Q

Work in an electric field

A

If the charged object is moving in the direction it would naturally go in the field, the work is being done by the field.

If it is moving against the natural direction, the work is being done on the field.

If it is moving perpendicular to the field, no work is being done.

14
Q

the more charge the object has …

A

The more work we had to do to change its location

15
Q

Electric work

A

W=Vq =qEd

q = the amount of substance affected by the field
E = electric field strength
d = the change in location

15
Q

Earths Magnetic field

A
If It's In the Northern Hemisphere the field Is DECLINED If in The Southern Hemisphere the filed IS INCLINED
15
Q

LIST three changes that can make an electromagnet More Effective

16
Q

Explain how an electron could be responsible for the magnetical behavour of a material

A

a movng charge like a Electron creates a magnetic Field.Certain Magnetic behaviour because of the orbting electrons producing magnetic fields that combine to produce larger Mag fields that extend beyond the structure of the material

17
Q

ELECTROMAGNETIC FIELDS IN A LONG WIRE,LOOP AND SOLENOID

18
Q

Parts of A Motor

A

Important memorise this

19
why does an electric motor rotate
There is an external magnetic field provides by a permanent magnet or an electromagnet(field coils) | the current is always perpendicular to the magnetic field. ## Footnote F=NILB were N=umber of coils where =force , I=current, L=length of the rotor coil perpendicular to B (m) B= Magnetic flux density
20
Calculations
20
Faraday's Law
a changing Magnetic flux through a loop will induce an EMF
21
how to caluculate the Average Flux measured by the voltmeter on a coil's movement and determine its direction
22
lenz's Law
1.A changing magnetic flux induces an EMF(FARADAY'LAW) 2.The Induced EMF drives a current 3.The induced current creates a magnetic field 4.The newly formed magnetic field has a direction that opposes the changing magnetic flux(Lenz's law)
23
FARADAY'S LAW CONTINUED
23
please note
change in flux creates an EMF and an EMF creates A current that CREATES ITS OWN MAGNETIC FIELDS (FARADAY'S) (INDUCED FIELD PUSHES BACK)
24
GUIDE TO ANSWERING FARADAY'S LAW QUESTIONS
25
GUIDE TO ANSWERING FARADAY'S LAW QUESTIONS 2
26
alternitive right hand rule for solenoids