Elementarfunktionen Flashcards

(9 cards)

1
Q

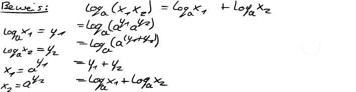
Beweis für:

logax1*x2 = logax1 + logax2

A
How well did you know this?
1
Not at all
2
3
4
5
Perfectly
2
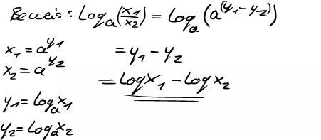
Q

Beweis für: loga(x1/x2) = logax1 - logax2

A
How well did you know this?
1
Not at all
2
3
4
5
Perfectly
3
Q

Beweis für:

logaxb = b*logax

A
How well did you know this?
1
Not at all
2
3
4
5
Perfectly
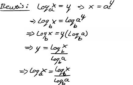
4
Q

Beweis für:

logax = logbx / logba

A
How well did you know this?
1
Not at all
2
3
4
5
Perfectly
5
Q

Wie definiert sich die Umkehrfunktion?

A

f-1(f(x)) = x

Lies: f quer von f von x ist gleich x

How well did you know this?
1
Not at all
2
3
4
5
Perfectly
6
Q

Unter welchen Vorraussetzungen ist eine funktion umkehrbar?

A
  • die Funktion ist streng monoton steigend oder fallend
    • a *af(b) - monoton fallend
  • heuristisch bedeutet dies lediglich, dass die Zahlen der Wertemenge nicht doppelt vorkommen dürfen, da die Wertemenge in der Umkehrfunktion zur Definitionsmenge wird und diese nur auf eine Zahl der neuen Wertemenge verweisen darf.
How well did you know this?
1
Not at all
2
3
4
5
Perfectly
7
Q

Wie ist das Verhältnis von Umkehrfunktionen?

A
  • Umkehrfunktionen heben sich gegenseitig auf
    • f-1(f(x)) = x
  • spiegeln sich an der 1. Winkelhalbierenden y=x
  • Definitionsmenge und Wertemenge sind vertauscht
How well did you know this?
1
Not at all
2
3
4
5
Perfectly
8
Q

Liste alle Elementarfunktionen und ihre zugehörige Umkehrfunktion.

A
  • Addition / Subtraktion
  • Multiplikation / Division
  • Potenzfunktion / Wurzelfunktion
  • Exponentialfunktion / Logarithmusfunktion
  • sin(x) / sin-1(x)
How well did you know this?
1
Not at all
2
3
4
5
Perfectly
9
Q

Wie berechnet man eine Umkehrfunktion:

A
  • die Umkehrfunktion ist eine Funktion in y, die auf die x - Werte zurückbildet
  • Trotzdem gibt man sie als Funktion von x an, die auf y abbildet, daher müssen die Variablen nach Berechnung der Umkehrfunktion vertauscht werden
  • Eine Funktion muss streng monoton fallend oder steigend sein, damit sie umkehrbar ist.
How well did you know this?
1
Not at all
2
3
4
5
Perfectly