EFATO checklsit

Engine Failure during takeoff roll checklist

Engine flameout during flight

Engine Failure during takeoff roll checkllist

Engine Flameout during flight checklist

Engine flameout in flight - No Restart

Airstart warning / restrictions

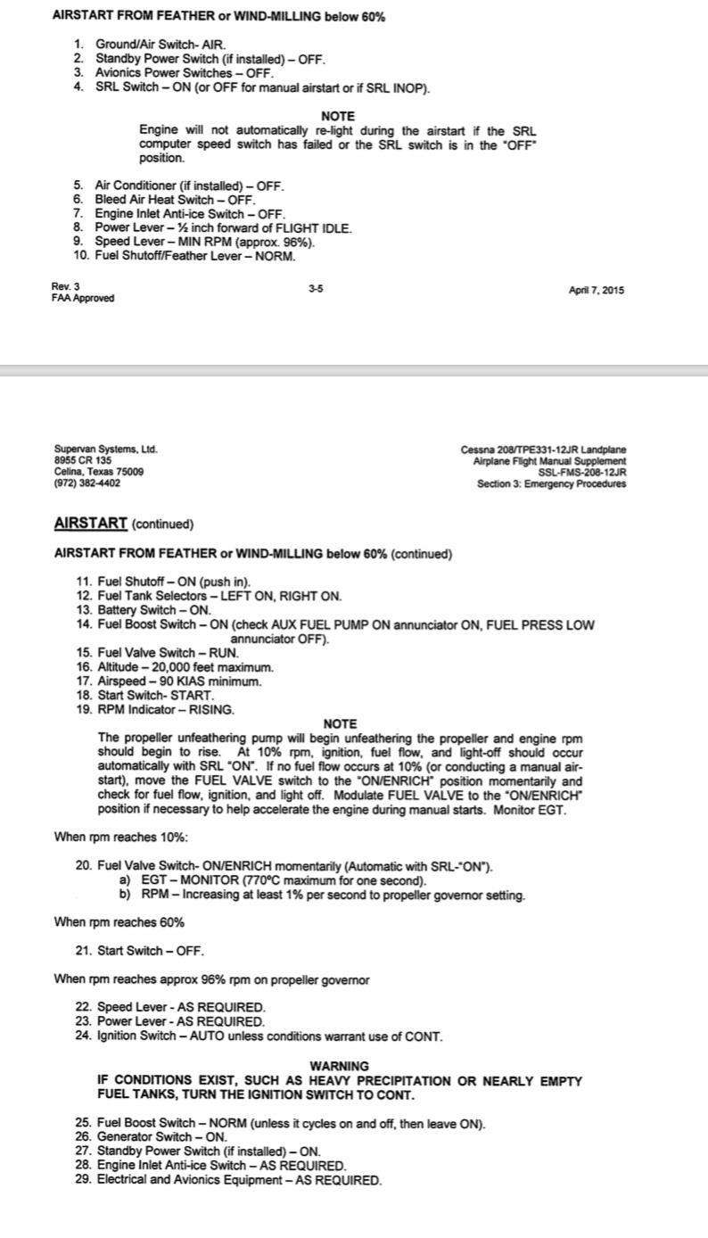
Airstart from feather or < 60%

Engine Fire in flight (RED ANNUNCIATOR ON)
First - to confirm not an erroneous error
If fire then follow checklist

Electrical Fire in flight

Cabin fire in flight

Wing Fire in flight
Follow checklist then side slip to keep fire away from fuel tank

Cabin fire on ground

Engine Fire on ground

Fuel issues immediate actions
Aborted/Hung Start checklist
Fuel Valve Switch - OFF
Fuel Shutoff/Feather Lever - PULL (OFF)
Start Mode Switch - MOTOR for 10 seconds
Start Mode Switch - OFF
Non Responsive Power Lever
Ignition Switch - CONT
Engine Inlet Anti-ice switch - ON
Wait - Up to three minutes
Engine Inlet Anti-ice switch - OFF
Ignition Switch - AUTO