Endocrinology Flashcards

(35 cards)

1
Q
A

organ produce hormone release circulation distant site
communicate w cell thorugh receptor = biochemical response

How well did you know this?
1
Not at all
2
3
4
5
Perfectly
2
Q
A

organ pufff hormone
- endocrine signaling

nerves pufff hormone
- neuroendocrine signaling

  • paracrine signaling: adjacent
  • autocrine signaling: same cell
How well did you know this?
1
Not at all
2
3
4
5
Perfectly
3
Q

Sex steps of communication by hormones

A
  1. Synthesis of hormone
  2. Release of hormone
  3. Transport of hormone: blood
  4. Detection of hormon by receptor
  5. Change in cellular metabolism = hormone-receptor interaction
  6. Removal of hormone: cellular response

**each step can be a point of REGULATION

How well did you know this?
1
Not at all
2
3
4
5
Perfectly
4
Q

Classic Endocrine Organs

A

BRAIN
1. Hypothalamus
2. Pituitary Gland
3. Thyroid and parathyroid Gland

HEART
4. Atrial Natruiretic Peptides (ANP)

ADRENAL GLANDS/KIDNEY
5. Cortex and medulla

PANCREAS
6. ISLETS OF LANGERHANS

OVARIES

TESTIS

How well did you know this?
1
Not at all
2
3
4
5
Perfectly
5
Q

Hypothalamic-Pituitary Signaling

A

Blood vessel = Hypothalamic-Hypophyseal Portal System

*hypophys- = anterior pituitary

6 different types of cells in anterior pituitary = each hormonal response w distinct receptor

How well did you know this?
1
Not at all
2
3
4
5
Perfectly
6
Q

Difference between Glycopriteins and Polypeptides and Steroids and Amines?

A

Gene that encodes them

Steroids and amines need to be biosynthesized

How well did you know this?
1
Not at all
2
3
4
5
Perfectly
7
Q

Synthesis of Proteins hormones

A

Hormone = secreted protein

  1. Genome encodes a longer protein then the mature protein bc theyre gonna get cleaved.
  2. If cleaved and too small, kidney is gonna pee it out
  3. so you got N-terminal prosequence thing thing
How well did you know this?
1
Not at all
2
3
4
5
Perfectly
8
Q

Steroid Hormone Structure and types

A

Four ring

  1. Cortisol
  2. Aldosterone
  3. Testosterone
  4. Estradiol: bones
How well did you know this?
1
Not at all
2
3
4
5
Perfectly
9
Q

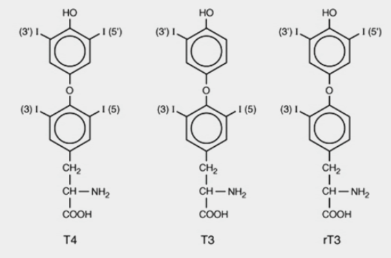
Thyroid Hormone Structure and types

A

Derived from Tyrosine + iodinated

T3 and T4: Tetra/Tri-iodothyronine

*reverse T3 = not a thyroid hormone bc doesnt bind to thyroid receptor. bc need double ionation of proximal ring

How well did you know this?
1
Not at all
2
3
4
5
Perfectly
10
Q

Lock and Key Mechanism

A

physiological affinity and range

How well did you know this?
1
Not at all
2
3
4
5
Perfectly
11
Q

Properties of Hormone Receptors

A
  1. Specificity
  2. Affinity
  3. Saturability
  4. Mesureable Biological Effect: induce series of biochemical event
How well did you know this?
1
Not at all
2
3
4
5
Perfectly
12
Q

Receptor Regulation

A
  1. Upregulation: increase activity
  2. Downregulation: decrease activity
How well did you know this?
1
Not at all
2
3
4
5
Perfectly
13
Q

How do hormones create effects on target cells

A
  1. Direct: on cell membrane (uncommon)
    = glucose-insulin
  2. Intracellular: mediated by 2nd messenger
    = cAMP
  3. Intracellular: mediated by Genomic or Nuclear action
    = change in gene transcription
    = de Novo protein production
How well did you know this?
1
Not at all
2
3
4
5
Perfectly
14
Q

Pituitary Gland

A
  • Adenohypophysis = anterior = endocrine tissue
  • Neurohypophysis = posterior = neural tissue
  • Outgrowth of Hypothalamus
  • Secretes Oxytocin & Vasopressin
  • Prohormones = Secretory Granules axonal transport
  • Mature = Neuophysins, carrier molecules
  • Half lives = 1-3 min
How well did you know this?
1
Not at all
2
3
4
5
Perfectly
15
Q

Pituitary Gland: Oxytocin

A

Females
1) Paturition: Child birth Contractions (+) feedback
2) Milk ejection: response to suckling, contract milk ducts
3) Behavioral Effects: bonding, reduce anxiety

Males
4) Ejaculation: helps passage of sperm
5) Behavioural Effects: “

How well did you know this?
1
Not at all
2
3
4
5
Perfectly
16
Q

Thyroid Gland: T4, T3

A

++++SYNTHESIS of THYROID hormones
1. Thyroid follicles
2. Colloid has Thyroglobulin has Thyrosine
*TSH pituitary = regulator = increase!
3. I2 (iodine) + thyroglobulin = MIT / DIT
(mono/di- iodotyrosine)
4. 2 DIT = T4
5. MIT +DIT = T3
6. T4/3 split off from thyroglobulin (storage)
7. Enter blood
8. Bind to special plasma proteins

*has iodine = active transport

++++CONTROL OF THYROID HORMONE/GLAND
TRH = hypothalamic neurons (synthesis and release)
TSH = anterior pituitary –> receptors on thyroid gland
cAMP and Adenylyl cyclase ACTIVATE T4/3
T4/3 INHIBIT TRH and TSH

++++IODINE DEFICIENCY
= synthesis of thyroid hormone is deficient
= Too much FSH, not enough T4/3
= Thyroid gland = hypertrophic = Goiter = non-toxic

++++EFFECTS OF THYROID HORMONES
1) STIMULATION OF CALORIGENESIS
2) EFFECTS OF METABOLISM (basal m. rate)
3) EFFECTS ON GROWTH
4) PROMOTES ELABORRATION OF NERVOUS SYSTEM (hypothyroid child = life long complications)
5) carbohydrate up
6) lipid turnover up
7) protein metabolism

++++MOLECULAR MECHANISM
1. target cognate nuclear receptor
2. alter transcription of specific genes (proteins)
3. effects through plasma membrane and mitochondria (cannot be block by inhibitors)
4. act at plasma membrane and incrase uptake of amino acid

++++ABNORMALITIES = at birth or later
A) Hypofunction-Hypothyroidism
[1°] Myxedema
= Atrophy
= Autoimmune thyroiditis
= Goitrous Hypothyroidism / non-toxic: block synthesis of T4/3
[2°]
= Pituitary
= lack of TSH
[3°]
= hypothalamus
= lack of TRH
[Infantile]
= absence of thyroid gland
= dwarfisim and cretinism

*TREATMENT: thyroid hormones

B) Hyperfunction-Hyperthyroidism
[1°] Toxic / Goiter’s disease
= Toxic goiter due to LATS (mimic)
= Adonema or cancer: thyroid is independent of TSH
= negative feedback loop
[2°]
= pituitary tumor
= NO negative feedback
= indepenedent prodction of TSH
[3°]
= hypothalamus tumor
= NO negative feedback
= independent production of TRH

*TREATMENTS:
- Surgery
- Radioacive iodine
- Antithyroid drugs

17
Q

Calcium

A
  1. Skeleton
  2. Blood clotting
  3. Transmembrane potentials
  4. Excitability of nervous
  5. Contraction of muscles
  6. Release hormones and neurotransmitters

In circulation
50% free 50% albumin

99% IN BONES

++++HORMONAL CONTROL
- Maintained by exchange between bones and plasma
- Intestinal absorption and kidney excretion

++++HORMONES THAT REGULATE CALCIUM
1) PTH: parathyroid gland [INCREASE]
2) Calcitonin: thyroid gland [DECREASE]
3) Vitamin D: [INCREASE]
- calcium cycle!!!

vitamin D and PTH –> plasma
Calcitonin –>bone and kidney

18
Q

Parathyroid hormone

A

Chief cells of Parathyroids (4)
No parathyroid = PTH = No calcium = tetanic convulsion/death

++++PTH STRUCTURE
84 A-acid, N-terminal only
34 A-acid full activity
- Preproparathryroid –> Proteolytic Cleavage –> PTH
- Half life= 3-18 min

++++FUNCTIONS OF PTH
1. increase Ca absorption and Reabsorption (gut, kidney, bone)
2. Vtiamin D synthesis

++++CONTROL OF PTH
- feedback loops from circulating Ca2+

++++MECHANISM OF PTH
- Cognate receptor

++++ABNORMALITIES
A) Hypoparathyroidism
- low Ca2+
- low active Vitamin D
- convulsions
TREATMENT: active vitamin D

B) Hyperparathyroidism
- Adenoma
- kidney stones
- increase absorption
TREATMENT: ermoval of affected glands,

19
Q

Vitamin D

A

Diet
Cholestero metabolite (not a vitamin)

++++SYNTHESIS
1. UBV light + 7-dehydrocholesterol in skin
2.. 25-hydroxylation in liver
3. 1-hydroxylation in kindney
= 1,25-dihydroxyvitamin D3

++++FUNCTIONS
- increase calcium absorption in intestin (duo and upper jejunum)
- immune
- anticancer

++++REGULATION
- low calcium = INCREASE vit. D
- high calcium = decrease vit D

LOW vitamin D
= rickets
= osteomalacia (soft bone)
= allergies
= cancer
autoimmune

vitamin D receptor VDR = regulates gene trasncription

20
Q

Calcitonin

21
Q

Adrenal Glands

A
  • upper kdiney
  • heavier in male
  • cortex and medulla
    = cortex is large-lipid / mesoderm / steroid hormones

= medulla is chromaffin Kbichromate browen granules / neural crest / catecholamine epineprhine & peptide hormones

++++ADRENAL CORTEX
Different layers of cortex produce different hormones

Faschiculata:
- Glucocorticoids (Steroid)

Glomerulosa:
- Mineralocorticoids (steroid)
- Aldosterone (has key enzymes = 18-hydroxylase)

Corticosterone
Progesterins

++++MOLECULAR MECHANISM
- regulator gene transcription

++++FUNCTIONS
1) MINERALO - ALDOSTERONE : Na+ and Cl- increase reabsorption
- OR gain Na+ & loss of K+ or a proton
- plasma concentration and pH

2) GLUCOCORTICOIDS - CORTISOL/CORTICOSTERONE
- salt retention
- protein and carbohydrtae metabolism: increase glucose levels. adrenal diabetes
- Lipid metabolism: hyperlipidemia and hypercholesterolemia
- Glucocorticoids in bone: osteoporosis (breakdown bone)
- Anti-inflammatory and immonusuppressive actions: reduce

++++CONTROL OF GLUCOCORTICOID - CORTISOL
by: ACTH, POMC, increase!

++++MECHANISM OF ACTH - ant. pituitary
- diurnal rhythm

++++STRESS RESPONSE

22
Q

Addison’s disease

A

Hypofunction of Adrenal cortex

  • destruction of gland
    = due to autoimmune attack and tuberculosis

Feedback pathway
1. loss of glucocordticoid: cortisol and aldosterone
2. loss of blood sugar
3. lack of energy / muscle weakness
4. loss of mineralocorticoid
5. ions imbalance
6. loss of Na+ in plasma
7. increase of K+ in plasma
8. Acidosis due to buildup of K+
9. shock death

Treatment: add the hormones

23
Q

Cushing’s disease

A

Hyperfunction
- elevated ACTH (adrenal or pituitary tumors)
- hyperplasia = big
-androgen, sex hormone: in women = increase masculinization
- hypetension

Feedback pathway
1. increase glucocorticoids: crotisol/aldosterone
2. increase blood sugar
3. loss of proteins: osteoporosis
4. increase mineralocorticoids
5. increase sodium retention : puffy face
6.hypertension

Treatment: removal of adrnal gland subtotal

24
Q

Pancreas: insulin B, glucagon a

A

glucagon = raise glucose
insulin = decrease glucose

INSULIN DEFICIENCY
1. beta cells destroyed
2. diabetes mellitus
3. glucose accumulates
4. cells cant take up glucose bc no insulin for receptors
5. fatty acids = source of energy
6. if not enough fatty, = increase of acid
7. decrease pH, diabetic coma, death
8. excess glucose go urine = polyurea thirst

*anti diuretih homrone: stops peeing

Diabetes type 1
- descruction of B cells (no insulin)
- or defective insulin release (drugs)
- lack of glucose to brain = hypoglemic coma, insulin shock

Daibetes type 2
- insulin normal or HIGH
- Hyporesponsiveness / resistance of insulin by cells
- Obesity and overeating
- Excess glucose = shuts down system

25
GLUCOSE TOLERANCE TEST
26
Control of INsulin release
Beta cells respond to glucose levels
27
GLP-1Action
short half-life GLP-a (+) insulin when glucose is present - Acts on brain to make you think youre full - break adipose tissue - empty GI tract -
28
Growth Hormone: pituitary
- stimulates growth - protein synthesis, etc. - linear growth ++++Somatomedins (liver) - Insulin profactor 1 and 2 ++++CONTROL OF GH ++++Deficiency = small stature ++++EXcess = gigantism = agromegaly (bones get bigger)
29
Gonads
fxns 1. gametogenesis 2. secretion of sex hormones
30
Estrogen in males
conversion of testosterone to estrogen estradiol deficiency = body fat = more erectile and sexual desire
31
Control of Reproductive function: Hypothalamus, pituitary and gonads
HYPOTHALAMUS - GnRH --> Pituitary FSH and LH PITUITARY FSH AND LH --> develpment of spermatozoa and ova + sex steroids SEX STEROIDS GONADS --> gonads/reproductive tract INHIBIN GONADS--> inhibit pituitary
32
Testes
Spermatogenesis = all his life Steroidogenesis = steroid hormones ++++CELLS 1. Leydig cells = seminiferous tubules = [LH] = make androgens 2. Sertoli cells = seminiferous tubules = [FSH] = ABP (adnrogen binding protein) and INHIBIN = sperm maturation
33
Ovary
produce mature eggs and steroid hormones due to follicles! Gonatropins and Steroids = control growth of follicles until ATRESIA (ovulation, degeneration) FSH/Estrogens = develop primary follicles + LH receptors FSH and LH = secondary follicles + antrum ....continued = preovulary/mature ****during this: stroma -->theca cells = steroid production (estrogen/androgen) ++++development leads to 2 events: If egg/follicle not ovulated, the others will degenerate = atresia = LUTEAL 2. ovulation ++++LUTEINIZATION (after ovulation) 1. corpus luteum 2. progesterone (and estrogen) 3. thicken uterine wall for implantation 4. if no implantation, corpus luteum will nolonger by prostaglandins = LH decrease, steroidgenesis decrease, progesterone decrease, estrogen decrease = triggers for next cycle +++++MENSTRUAL CYCLE Day 1) everything drops, wall degenrates = Menses = bleed Day 7) Estradiol LOW = FSH HIGH Inhibin LOW .... FSH = follicle proliferate (+++) Day 8) the chosen one. others are degenerated chosen one produces: estradiol = uterine endometrium proliferation day13) estradiol = endometrial progesterone receptors
34
35