What type of reaction takes in heat from the surroundings?
Endothermic reactions
What type of reactions gives out heat to the surroundings?
Exothermic reactions
What can be said about the amount of energy before a chemical reaction and the amount of energy after a chemical reaction?
They are equal
Name the type of reaction used in self- heating cups and hand warmers.
Exothermic reaction
Give an example of a chemical reaction that is endothermic.
Examples include: Thermal Decomposition and Reacting Citric Acid with Sodium hydrogencarbonate
Give an example of a chemical reaction that is exothermic.
Examples include: Combustion, Oxidation, Neutralisation
Name the type of reaction is used in sports injury packs.
Endothermic reaction
How do you know the reaction profile below is for an exothermic reaction?

Energy of products is lower than the energy of reactants
How do you know the reaction profile below is for an endothermic reaction?

Energy of products is higher than the energy of reactants
Draw an energy level diagram (reaction profile) for an exothermic reaction.

Draw an energy level diagram (reaction profile) for an endothermic reaction.

What is the name for the minimum amount of energy needed for a reaction to happen?
Activation energy
Look at the reaction profiles below. Which arrows show the activation energy and which arrows show the overall energy change?


Complete the sentence.
In a chemical reaction, energy is needed to ……………….
In a chemical reaction energy is needed to break bonds
Complete the sentence
In a chemical reaction, energy is released when ……….
In a chemical reaction, energy is released when bonds are formed
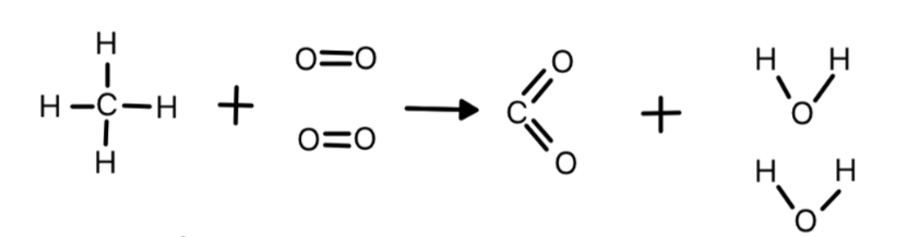
Calculate the overall energy change in this reaction.
Bond energies: C-H = 413 kJ/mol ; O=O = 495 kJ/mol ; C=O = 799 kJ/mol ; H-O = 463 kJ/mol


Calculate the overall energy change in this reaction.
Bond energies: = 941 kJ/mol ; N-H = 391 kJ/mol ; H-H = 436 kJ/mol


Explain, in terms of bonds and energy, what makes a reaction exothermic.
Exothermic: The energy released from forming new bonds is greater than the energy needed to break existing bonds.
Explain, in terms of bonds and energy, what makes a reaction endothermic.
Endothermic: The energy needed to break existing bonds is greater than the energy released when new bonds are formed.