What percent of epistaxis cases are due to an anterior bleed vs a posterior bleed?
Anterior bleed (from Kiesselbach’s plexus)- 95%
Posterior bleed- 5%
***DONT WANT TO MISS POSTERIOR BLEED- CAN BE FATAL****
Etiology of epistaxis
*Nasal glucocorticoids can also caus epistaxis
What history questions should be asked for epistaxis?
–Explore possible causes
–Timing, frequency, severity
What is important to note on examination for epistaxis?
–Vitals, mental status, airway
–Nose: may need to pretreat with anesthetic or vasoconstrictor; try to identify source
What labs might need to be drawn on a patient presenting with epistaxis?
–PT/INR – only anticoagulated patients
–Hematocrit, type and crossmatch
What are possible treatments for epistaxis?
Epistaxis treatment- conservative measures
Epistaxis treatment options- cautery
Can use silver nitrate or electrical
What are different methods of nasal packing for treatment of epistaxis?
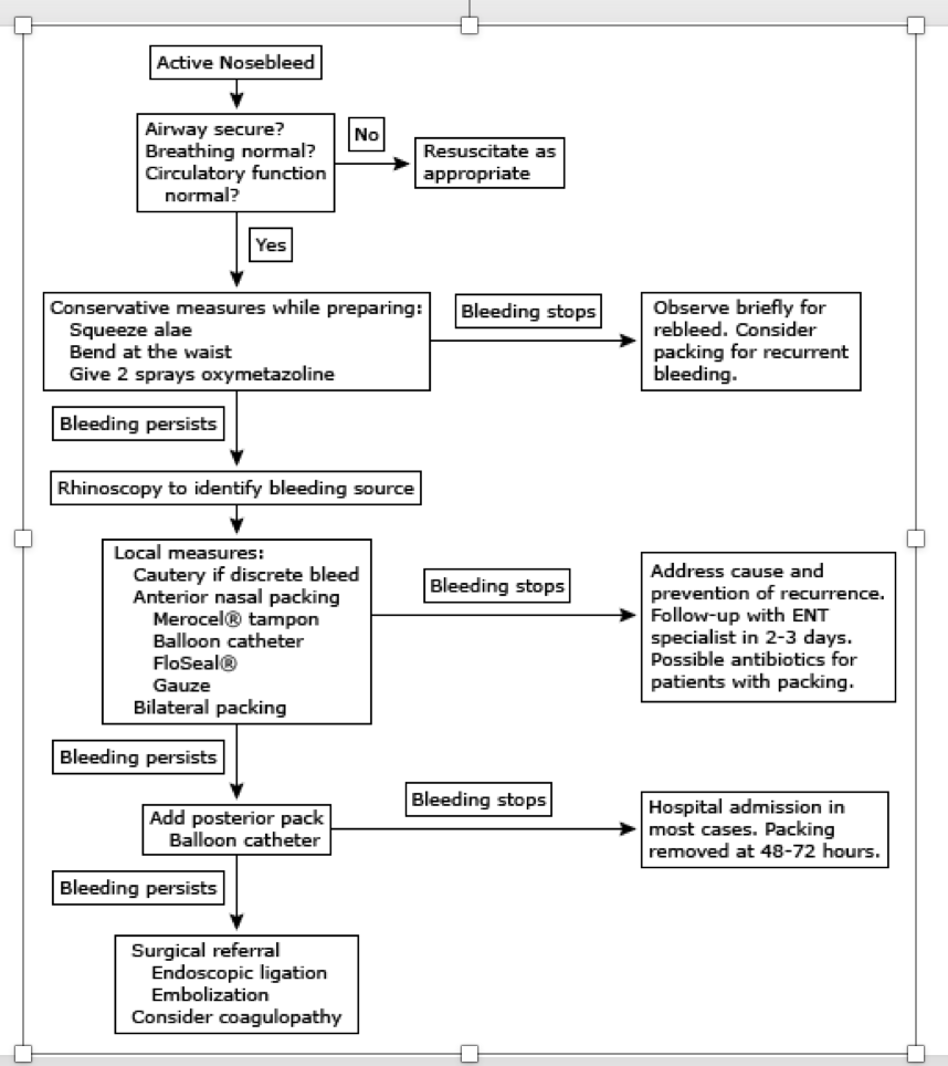
Overview of epistaxis management

What to do with a patient who has epistaxis and has persistent bleeding
Epistaxis- after bleeding is controlled
–Avoid straining or vigorous exercise
–Apply nasal saline to packing
–Avoid hot or spicy food, tobacco (vasodilation)
–Avoid nasal trauma
–Lubrication (petroleum jelly or bacitracin ointment)
–Increase home humidity
–+/- antibiotics for TSS prophylaxis (if doing nasal tampon)